|
单点线啮合齿轮传动主要测量尺寸计算 |
|||
|
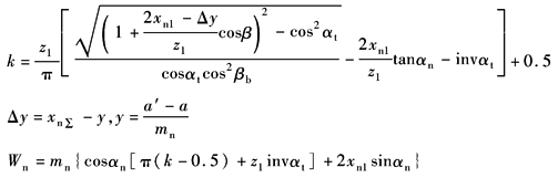
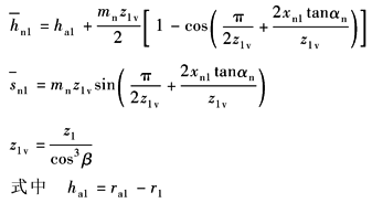
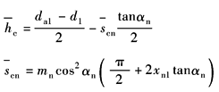
单点线啮合齿轮应分别对小齿轮与大齿轮进行测量。小齿轮是一个渐开线变位短齿,可以用测量渐开线齿轮的方法进行测量,对于中小模数齿轮的测量用公法线长度较好,齿顶圆不为基准,对齿顶圆的制造精度可以降低,但齿宽b>Wnsinβ,由于小齿轮是一个短齿且变位系数较大,要卡的齿要求在齿廓的中部,必须考虑齿顶降低系数,否则就容易卡到齿的顶部。对于大模数和受量具尺寸限制的齿轮则可采用分度圆齿厚和固定弦齿厚进行测量,但对齿顶圆的尺寸精度要求高,计算公式列于下表。大齿轮为一个大负变位的齿轮,渐开线部分较短,公法线无法测量,因此只能测量齿顶螺旋线的法向距离,称之为法线长度。因为以齿顶作为测量基准,所以齿顶圆的尺寸精度要求高,计算公式见下表 |
|||
|
单点线啮合齿轮主要测量尺寸计算 |
|||
|
小 齿 轮 |
公法线 长度 |
跨齿数k 公法线长度Wn |
|
|
分度圆 弦齿厚 |
分度圆弦齿高 分度圆弦齿厚 |
|
|
|
固定弦 齿厚 |
固定弦齿高 固定弦齿厚 |
|
|
|
跨齿数 |
k |
|
|
|
大 齿 轮 |
法线 长度 |
Wn |
|




