|
单点线啮合齿轮传动的主要几何尺寸计算 |
||
|
名称 |
代号 |
计算式 |
|
法向模数 |
mn |
由强度计算或结构设计确定,并取标准值 |
|
压力角 |
αn |
αn=20°(根据需要可选其他压力角) |
|
分度圆柱螺旋角 |
β |
取β=8°~30°具体值可按表点线啮合齿轮传动的参数选择中表1选取 |
|
分度圆直径 |
d |
|
|
端面压力角 |
αt |
|
|
基圆直径 |
db |
|
|
理论中心距 |
a |
|
|
实际中心距 |
a' |
|
|
端面啮合角 |
α′t |
|
|
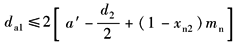
小齿轮顶圆直径 |
da1 |
|
|
大齿轮顶圆直径 |
da2 |
|
|
总变位系数 |
xnΣ |
|
|
小齿轮变位系数 |
xn1 |
|
|
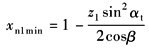
小齿轮最小变位系数 |
xn1min |
|
|
齿根圆直径 |
df |
|
|
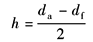
全齿高 |
h |
|
|
分度圆齿厚 |
s |
|
|
顶圆齿厚 |
sa |
|
|
渐开线与过渡曲线交点J处的半径 |
rj |
|
|
J点的齿厚 |
sj |
|
|
J点的压力角 |
αj |
|






