|
传动比 |
|
在行星齿轮传动中,由于行星轮的运动不是定轴线传动,不能用计算定轴传动比的方法来计算其传动比,而采用固定行星架的所谓转化机构法以及图解法、矢量法、力矩法等,其中最常用的是转化机构法。现简述如下 (1) 传动比代号 行星齿轮传动中,其传动比代号的含义如下:
例如: (2) 传动比计算及其普遍方程式 采用转化机构法计算传动比的方法是:给整个行星齿轮传动机构加上一个与行星架旋转速度nX相反的速度-nX,使其转化为相当于行星架固定不动的定轴线齿轮传动机构,这样就可以用计算定轴轮系的传动比公式计算转化机构的传动比 对于所有齿轮及行星架轴线平行的行星齿轮传动,计算转化机构传动比的公式如下
同理,如果给整个传动机构加上一个与某构件A或C的转速nA或nC相反的转速时,上式可写为
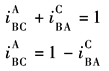
和 上列式(1)中,指数n表示外啮合齿数。式(1)~式(3)中,nA、nB、nC分别代表行星齿轮传动中构件A、B、C的转速 式(2)与式(3)等号左、右分别相加可得
上式移项得: 式(4)就是计算行星齿轮传动的普遍方程式 式(4)中,符号A、B、C可以任意代表行星轮系中的三个基本构件。这个公式的规律是:等式左边i的上角标和下角标可以根据计算需要来标注,将其上角标与第二个下角标互换位置,则得到等号右边i的上角、下角标号 在进行行星齿轮强度和轴承寿命计算时,需要计算行星轮对行星架的相对转速,其值可通过转化机构求得。例如:NGW行星齿轮传动,行星轮轴承转速nC和相对转速nC-nX可由下式求得
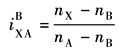
当行星齿轮传动用作差动机构时,仍可借助式(1)~式(4)计算其传动比 例如,对于NGW型差动齿轮传动,当太阳轮A及内齿轮B分别以转速nA和nB转动时,其行星架的转速nX可用下述方法求得: 参照式(2)
可得经整理可得
即
式中
由式(5)可见:NGW型差动齿轮传动行星架的转速等于固定A轮时得到的转速与固定B轮时得到的转速的代数和 |







