|
效率 |
|
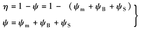
在行星齿轮传动中,其单级传动总效率η由以下各主要部分组成
式中 ηm——考虑齿轮啮合摩擦损失的效率(简称啮合效率); ηB——考虑轴承摩擦损失的效率(简称轴承效率); ηS——考虑润滑油搅动和飞溅液力损失的效率 因为效率值接近于1,所以上式可以用损失系数来表达:
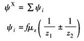
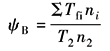
式中 ψ——传动损失系数; ψm=1-ηm,ψB=1-ηB,ψS=1-ηS,分别为考虑啮合、轴承摩擦、润滑油搅动和飞溅损失的系数。确定各损失系数后便可由上列关系式确定相应效率值 (1)啮合效率ηm及损失系数ψm 啮合效率由表行星齿轮传动的传动比及啮合效率计算公式中的公式计算求得。效率η上下角标的标记方法、意义与传动比的标法相同 啮合效率的计算公式中,φX为行星架固定时传动机构中各齿轮副啮合损失系数之和,即 而 式中 f——与两轮齿顶高系数ha*有关的系数,当ha*≤mn时,取f=2.3; μz——齿面摩擦因数,NGW和NW型传动取μz=0.05~0.1,WW和NGWN型传动取μz=0.1~0.12; z1和z2——齿轮副的齿数,内啮合时z2为内齿轮齿数;式中,“+”用于外啮合,“-”用于内啮合 对于NGWN型传动, (2)轴承效率ηB 滚动轴承的效率值可直接由有关设计手册中查得。必要时,也可按下式确定损失系数ψB后求得
式中 Tfi——第i只轴承的摩擦力矩,N·cm; ni——第i只轴承的转速,r/min; T2——从动轴上的转矩,N·cm; n2——从动轴上的转速,r/min 当计算行星轮轴承的损失系数值时,上式中的ni为行星轮相对于行星架的转速,即 滚动轴承的摩擦力矩可近似地按下式确定:
式中 d——滚动轴承内径,cm; μ0——当量摩擦因数,由有关设计手册查取; F——滚动轴承的载荷,N (3) 搅油损失系数ψS 当齿轮浸入润滑油的深度为模数值的2~3倍时,其搅油损失系数ψS可由下式确定:
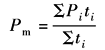
式中 υ——齿轮圆周速度,m/s; b——浸入润滑油的齿轮宽度,cm; P——传递功率,kW; ν——润滑油在工作温度下的黏度,mm2/s; zS——齿数和 当齿轮为喷油润滑时,ψS值为按上式求得数值的0.7倍 对于载荷周期变化的情况,若其间温度变化不大,上式中的功率P应取平均值,其值为
式中 Pi——在时间ti内的功率值,kW; ti——功率变化周期的持续时间 |





