|
摩擦轮传动的加压装置的种类和计算 |
|||||||
|
名 称 |
恒压加压装置——圆柱螺旋弹簧加压式 |
||||||
|
圆柱摩擦轮传动 |
槽形摩擦轮传动 |
端面摩擦轮传动 |
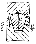
锥形摩擦轮传动 |
||||
|
简 图 |
|
|
|
|
|||
|
法 向 压 紧 力 |
摩擦轮处 |
|
|
|
|
||
|
加压盘处 |
Qy=Qr |
Qy=Qr |
Qy=Qa2 |
Qy=Qa=Qsinφ |
|||
|
轴向压紧力 |
Qa=0 |
Qa=0 |
Qa1=0;Qa2=Qr1 |
Qa1=Qsinφ1;Qa2=Qsinφ2 |
|||
|
弹簧压紧力 |
轮两侧各装一个弹簧 |
轮两侧各装一个弹簧 |
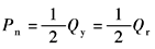
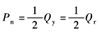
Pn=Qa2 弹簧装在2轮轴上 |
Pn=Qa1(弹簧在1轴上) 或Pn=Qa2(弹簧在2轴上) |
|||
|
弹簧螺旋升角 λ |
|
||||||
|
强度计算 |
参考本手册弹簧篇选择合适的弹簧材料及相应的许用应力τp,选定合适的弹簧指数C(一般热卷取C=4~10,冷卷取C=4~14),算出相应的曲度系数K,即可求得所需弹簧丝直径d
圆柱螺旋压缩弹簧其余尺寸计算详见弹簧篇 |
||||||
|
特点及应用 |
结构简单,工作可靠,压紧力不随载荷变化,机械效率低,寿命较短 |
||||||
|
名 称 |
自动加压装置 |
||||||
|
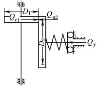
端面凸轮轴(套)式 |
钢球(柱)V形槽式 |
弹性自紧环式 |
|||||
|
简 图 |
|
|
|
||||
|
法 向 压 紧 力 |
摩擦轮处 |
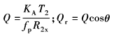
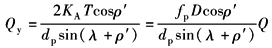
D,P,n分别为加压轴摩擦轮直径、功率及转速 fp及KA意义同表摩擦轮传动的设计与计算 |
|
|
|||
|
加压盘处 |
|
|
|
||||
|
轴向压紧力 |
|
Qa=Qsinθ |
Qa=Qsinθ |
||||
|
弹簧压紧力 |
QT=Qa1-Qa |
|
|
||||
|
弹簧螺旋升角 λ |
|
|
|
||||
|
强度计算 |
K为承压面积变化系数,取0.75~0.90 σyp为许用压应力,MPa,通常取σyp=(3~6)HRC De,Di分别为加压凸轮的外、内直径 dp为加压凸轮的有效工作直径 |
钢球式
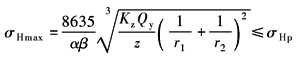
鼓形滚子
Kz为载荷不均匀系数,取1.1~1.2 σHp为许用接触应力,MPa,对GCr15、63HRC可取2300(滚子)及3200(球) z为滚子数 r为加压钢球半径 r1,r2分别为鼓形滚子在轴向及中心截面的半径 |
按圆环计算,或按曲杆进行近似计算起始间隙
式中 Rc——环截面质心的半径; E——环材料的弹性模量; Ia——环截面对截面轴心线的惯性矩 |
||||
|
特点及应用 |
灵敏性较钢球V形槽式差,但承载能力大,适用于较大功率传动,也可在凸轮块之间设置滚子 压紧力在同一根轴上内部平衡,螺旋面制造较困难 |
动作灵敏,对载荷变化反应快;承载能力稍差,结构稍复杂;工艺要求较高,鼓形滚子承载能力较好 应通过预测碟形弹簧的刚性及其线性度,调整垫圈厚度,确定合理的最大可压缩量和预压量,以避免越顶现象 |
结构简单,无需专用加压装置,传递功率受到一定限制,用于卸载环摩擦轮传动 |
||||
|
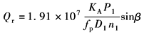
注:1.力的单位为N;转矩的单位为N·mm;长度的单位为mm;功率的单位为kW;转速的单位为r/min。 2.摩擦轮压紧力公式中各符号的意义见表摩擦轮传动的设计与计算。 |
|||||||















