|
摩擦轮传动的设计与计算 |
|||||
|
名称 |
圆柱摩擦轮传动 |
槽形摩擦轮传动 |
端面摩擦轮传动 |
锥形摩擦轮传动 |
|
|
传动简图 |
|
|
|
|
|
|
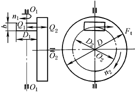
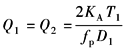
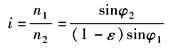
传动比 |
滑动率ε,查表摩擦副材料 |
|
|
当φ1+φ2=90°时
当φ1+φ2≠90°时
|
|
|
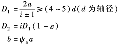
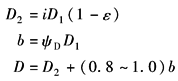
几何计算 |
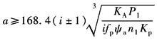
“i±1”中“+”号为外接触,“-”号为内接触(下同) |
b=2z(htanβ+δ),β在12°~18°间选取 δ=3mm(钢),δ=5mm(铸铁) h=0.04D1;De=D+2h Di=D-2h-(0.1~0.2) |
|
|
|
|
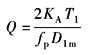
压紧力 |
两轮径向
|
两轮径向
|
一轮径向
|
轮面法向
|
|
|
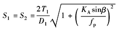
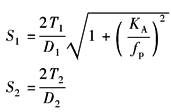
作 用 在 轴 上 的 力 |
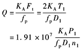
总压力 |
|
|
|
|
|
轴向力 |
Qa=0 |
Qa=0 |
Qa1=0;Qa2=Q |
Qa1=Qsinφ1;Qa2=Qsinφ2 |
|
|
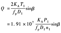
强 度 计 算 |
金属轮 /金属轮 |
E、fp、σHp查表摩擦副材料 P1、n1分别为主动轮功率及转速,r/min KA为工况系数,查表工况系数KA(下同) ψa=b/a,常取ψa=0.2~0.4,轴系刚性好时取大值 |
|
|
|
|
金属轮/ 非金属轮 |
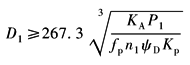
fp、Kp查表摩擦副材料 |
|
|
|
|
|
金属轮 /橡胶轮 |
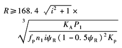
Cp查表设计计算步骤中图 |
|
|
|
|
|
注:力的单位为N;转矩的单位为N·mm;功率的单位为kW;长度的单位为mm;应力的单位为MPa;转速的单位为r/min。 |
|||||





























