|
螺旋传动的运动及功率计算 |
||
|
计算项目 |
计算公式 |
说明 |
|
螺杆(或螺母)轴向位移l |
|
φ——螺母(或螺杆)的转角,rad S——导程,mm P——螺距,mm x——螺纹线数 |
|
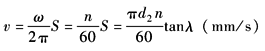
螺杆(或螺母)轴向移动速度υ |
|
ω——螺母(或螺杆)的角速度,rad/s n——螺母(或螺杆)的转速,r/min d2——螺纹中径,mm λ——螺旋线升角,(°) |
|
螺纹摩擦力矩Mt1 |
|
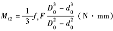
F——螺旋传动的轴向载荷,N ρ'——当量摩擦角,ρ'=arctanf',参见表滑动螺旋传动计算 fs——轴向支承面间摩擦因数 D0及d0——支承环面的外径及内径,mm Mt3——螺旋传动径向轴承摩擦力矩,N·mm,无径向支承时,此项为零 |
|
螺旋传动轴向支承面摩擦力矩Mt2 |
当为环形面支承时 |
|
|
驱动转矩Mq |
|
|
|
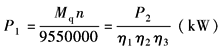
驱动功率P1 |
|
η1——螺纹效率,按表滑动螺旋传动计算公式计算 η2——轴向支承面效率 η3——径向支承面效率 η2≈η3=0.95~0.99,滚动轴承取大值,滑动轴承取小值,无轴承时为1 |
|
输出功率P2 |
|
|



