|
滑动螺旋传动计算 |
||||||
|
|
d——外螺纹大径(公称直径) P——螺距 ac——牙顶间隙 H1——基本牙型高度H1=0.5P h3——外螺纹牙高h3=H1+ac=0.5P+ac H4——内螺纹牙高H4=H1+ac=0.5P+ac Z——牙顶高Z=0.25P=H1/2 d2——外螺纹中径d2=d-2Z=d-0.5P D2——内螺纹中径D2=d-2Z=d-0.5P d3——外螺纹小径d3=d-2h3 D1——内螺纹小径D1=d-2H1=d-P D4——内螺纹大径D4=d+2ac b——牙根部宽度 |
|||||
|
计算项目 |
单位 |
计算公式和参数选定 |
说明 |
|||
|
耐 磨 性 |
螺纹中径d2 |
mm |
梯形螺纹和矩形螺纹
|
F——轴向载荷,N pp——螺纹副许用压强,查表材料与许用应力中表2 设计时ψ值可根据螺母的形式选定: 整体式螺母取1.2~2.5 剖分式螺母取2.5~3.5 算出d2应按国家标准选取相应的公称直径d及其螺距P |
||
|
30°锯齿形螺纹
|
||||||
|
螺母高度H |
mm |
|
||||
|
旋合圈数n |
|
|
P——螺距,mm |
|||
|
基本牙型高度 H1 |
mm |
梯形螺纹(GB 5796.1—1986)和矩形螺纹H1=0.5P 30°锯齿形螺纹(GB/T 13576.1—1992)H1=0.75P |
|
|||
|
工作压强p |
MPa |
|
|
|||
|
自 锁 条 件 |
螺纹升角λ |
(°) |
通常取λ≤4°30' |
ρ'——当量摩擦角 f——摩擦因数,查表摩擦因数f值 S——导程,mm |
||
|
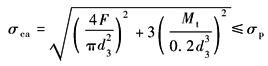
螺 杆 强 度 |
当量应力σca |
MPa |
|
Mt——转矩,N·mm,根据转矩图 确定,见表运动形式及其载荷分析 d3——外螺纹小径 σp——螺杆的许用应力,MPa,查表材料与许用应力中表3 |
||
|
螺 纹 强 度 |
螺纹牙根部 的宽度b |
mm |
梯形螺纹(GB/T 5796.1—1986)b=0.65P 矩形螺纹b=0.5P 30°锯齿形螺纹(GB/T 13576.1—1992)b=0.74P |
|
||
|
螺 杆 |
剪切强度τ |
MPa |
|
螺杆和螺母材料相同时,只需校核螺杆螺纹强度 D4——内螺纹大径 τp,τ'p——外、内螺纹牙的许用切应力,MPa,查表材料与许用应力中表3 σbp,σ'bp——外、内螺纹牙的许用弯曲应力,MPa,查表材料与许用应力中表3 |
||
|
弯曲强度σb |
|
|||||
|
螺 母 |
剪切强度τ |
MPa |
|
|||
|
弯曲强度σb |
|
|||||
|
螺 杆 受 压 稳 定 性 |
临界载荷Fc |
N |
λ>λ1的大柔度杆用欧拉公式
λ2≤λ≤λ1的中柔度杆按经验公式
λ<λ2的小柔度杆可不进行压杆稳定性验算 应设 |
μ——长度系数,与螺杆的端部结构有关,查表系数μ和μ1 l——螺杆的最大工作长度,mm i——螺杆危险截面的惯性半径,mm, E——螺杆材料的弹性模量,MPa,对于钢材E=2.1×105MPa ss——稳定安全系数 λ1,λ2,a,b——与材料有关的常数,(注意将表中a及b单位化为MPa,即乘以1/100代入) |
||
|
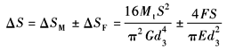
螺 杆 刚 度 |
轴向载荷使导程产生的轴向变形ΔSF |
mm |
|
Ip——螺杆危险截面的极惯性矩,mm4, G——螺杆材料的切变模量,MPa,对于钢G=8.5×104MPa |
||
|
转矩使导程产生的轴向变形ΔSM |
|
|||||
|
导程的总轴向变形ΔS |
|
轴向载荷与运动方向相反时取+号,许用ΔS值见表螺杆每米长的允许螺距变形量 |
||||
|
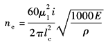
横 向 振 动 |
临界转速nc |
r/min |
对于钢制螺杆
应满足转速n≤0.8nc |
lc——螺杆两支承间的最大距离,mm μ1——系数,与螺杆的端部结构有关,查表系数μ和μ1 ρ——密度,kg/mm3,对于钢ρ=7.8×10-6kg/mm3 |
||
|
效率η |
|
回转运动转化为直线运动时
直线运动转化为回转运动时
|
系数(0.95~0.99)为轴承效率,决定于轴承形式,滑动轴承取小值 轴向载荷与运动方向相反时取+号 |
|||














