|
无缝波纹管计算公式 |
||||||||||
|
|
||||||||||
|
表1 |
||||||||||
|
项目 |
单位 |
公式及数据 |
说明 |
|||||||
|
位移W |
mm |
A0、A1、A2、B0是与 |
P——作用于波纹管上的轴向力,N μ——泊松比 h0——波纹管厚度,mm RB——波纹管内半径,mm RH——波纹管外半径,mm t——波距,mm α——波纹紧密角,(°) rH——波纹外径,mm rB——波纹内径,mm σ1w——径向弯曲应力,MPa σ2w——周向弯曲应力,MPa 在极值截面内: σ2w=μσ1w σ10——径向应力,在各点均小,一般不计,MPa σ20——周向应力,MPa δ——相对厚度,用以查图3~图10 |
|||||||
|
波纹管刚度KQ |
N/mm |
|
||||||||
|
波纹管危险点的当量应力σd |
MPa |
式中,σ1、σ2为内表面及外表面诸点的主应力:
|
||||||||
|
有效面积Fe |
mm2 |
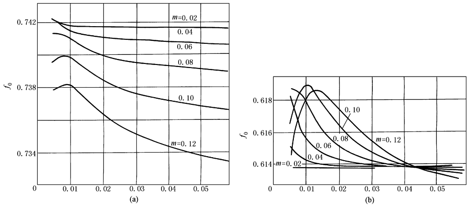
式中 f0——相对有效面积,从图2查取 经验公式
|
||||||||
|
无量纲刚度 |
|
|
||||||||
|
自由位移时无量纲应力 |
|
|
||||||||
|
力平衡时无量纲应力 |
|
|
||||||||
|
相对厚度δ |
|
|
||||||||
|
图1 系数A0、A1、A2、B0的线图
图2 初始相对有效面积的变化图
图3 波纹管计算诺模图 k=1.4,r=Ra,P=0,W≠0
图4 波纹管计算诺模图 k=1.4,r=RH,P=0,W≠0
图5 波纹管计算诺模图 k=1.4,r=RB,P≠0,W=0
图6 波纹管计算诺模图 k=1.4,r=RH,P≠0,W=0
图7 波纹管计算诺模图 k=1.8,r=RB,P=0,W≠0
图8 波纹管计算诺模图 k=1.8,r=RH,P=0,W≠0
图9 波纹管计算诺模图 k=1.8,r=RB,P=0,W=0
图10 波纹管计算诺模图 k=1.8,r=RH,P≠0,W=0 |
||||||||||
|
表2 波纹管危险点及应力符号 |
||||||||||
|
波纹管的危险点 |
应力 |
应力符号 |
载荷 |
|||||||
|
A |
B |
C |
D |
压力 |
位移 |
|||||
|
σ1w、σ2w |
- |
+ |
- |
+ |
P>0 (内压力) |
W=0 |
||||
|
σ10 |
- |
- |
+ |
+ |
||||||
|
σ20 |
- |
- |
- |
- |
||||||
|
σ1w、σ2w |
+ |
- |
- |
+ |
P=0 |
W>0 (拉力) |
||||
|
σ10 |
+ |
+ |
+ |
+ |
||||||
|
σ20 |
+ |
+ |
- |
- |
||||||



















