|
波纹管计算示例 |
||
|
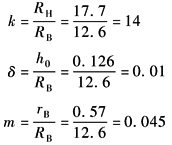
求波纹管被拉力拉伸到W=3mm时的刚度和最大当量应力。波纹管尺寸DH=2RH=35.4mm,DB=2RB=25.2mm,h0=0.126mm,rH=rB=0.57mm,n=5,材料E=2.1×105MPa |
||
|
项目 |
单位 |
公式及数据 |
|
计算无量纲参数k、δ、m |
|
|
|
计算应力σ1w、σ20、σ2w |
MPa |
根据k、δ、m在表无缝波纹管计算公式中图1中找到谷部处(r=RB)的(
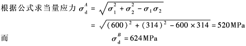
当r=RH时,σ1w=600MPa,σ20=134MPa 当r=RB时,周向弯曲应力σ2w=μσ1w=0.3×600=180MPa |
|
计算当量应力σd |
MPa |
在谷部点A和点B的应力符号,当W>0时,按表无缝波纹管计算公式中表2确定 主应力按公式: 对于点A:
对于点B:
|
|
波纹管刚度KQ |
N/mm |
根据表无缝波纹管计算公式图3查出
|







