|
波纹膜片的计算公式 |
||||||
|
表1 |
||||||
|
项目 |
单位 |
公式及数据 |
说明 |
|||
|
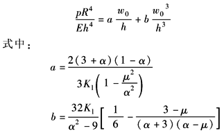
弹性特性方程 |
|
|
此弹性特性方程不仅适用于无硬心波纹膜片,而且也适用于小波纹 |
|||
|
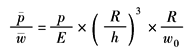
弹性特性的非线性度γ |
|
|
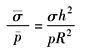
p——压力,MPa R、h——膜片工作半径、厚度,mm α——系数, k1、k2——按表2查 Δ——连接坐标原点与特性曲线工作段终点的直线同非线性特性曲线间挠度的最大误差 w0——位移,mm σ ——最大应力,MPa |
|||
|
无 量 纲 参 数 |
|
|
|
|||
|
|
|
|
||||
|
|
|
|
||||
|
|
|
|
||||
|
初始有效面积f0 |
mm2 |
|
||||
|
表2 |
||||||
|
膜片型面 |
k1 |
k2 |
||||
|
|
|
|
||||
|
|
|
|
||||
|
|
1 |
|
||||












