|
平膜片计算示例 |
|||||
|
例1 求无硬心平膜片在已知工作压力p=0.04MPa时的位移,容积变化和安全系数。膜片的材料为3J1,E=210000MPa,屈服极限σs=882MPa,膜片的工作半径R=100mm,厚度h=0.4mm |
|||||
|
项目 |
单位 |
公式及数据 |
|||
|
确定无量纲压力参数 |
|
为了确定是大位移、还是小位移膜片,首先计算其位移w0:
因为w0 |
|||
|
求 |
|
根据
|
|||
|
位移w0 |
mm |
|
|||
|
有效容积V |
mm3 |
|
|||
|
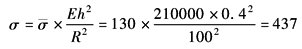
最大应力σ |
N/mm2 |
|
|||
|
安全系数n |
|
|
|||
|
例2 膜片尺寸R=125mm,h=0.5mm,压力p=0.02MPa,材料为QBe2,E=1.35×105MPa,屈服极限σs=960MPa,求硬心半径r0,如果膜片的有效面积Fe=3.14×104mm2,再求出膜片中心的位移和膜片的安全系数 |
|||||
|
项目 |
单位 |
公式及数据 |
|
||
|
相对有效面积 |
|
|
|||
|
硬心半径r0 |
mm |
根据表大位移平膜片的计算公式图2,找出相应于 因此,硬心半径r0=0.6×125=75 |
|||
|
位移w0 |
mm |
根据表大位移平膜片的计算公式图3,由 由此,位移w0=2.6×h=2.6×0.5=1.3 |
|||
|
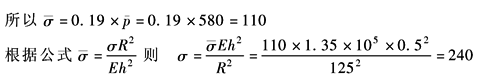
最大应力σ |
MPa |
根据表大位移平膜片的计算公式图4,当
|
|||
|
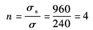
安全系数n |
|
|
|||



