|
波纹膜片计算示例 |
||||
|
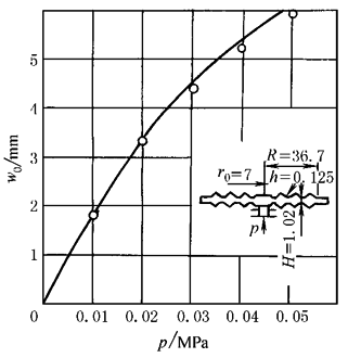
例1 绘制波纹膜盒的弹性特性曲线、膜盒由两个相同的锯齿形膜片组成,膜片的尺寸:R=36.7mm,r0=7mm,H=1.02mm,h=0.125mm;材料为QBe2,弹性模量E=1.35×105N/mm2,n=3 |
||||
|
表1 |
||||
|
项目 |
单位 |
公式及数据 |
||
|
确定波长l |
mm |
|
||
|
倾角θ0 |
(°) |
|
||
|
求系数a及b |
|
根据图1, |
||
|
弹性特性曲线方程式 |
|
将系数a及b代入弹性特性方程,则得其特性曲线方程式
|
||
|
波纹膜盒的特性曲线 |
|
特性曲线(考虑到膜盒的位移比一个膜片的大一倍) |
||
|
图1 系数a及b变化图 |
||||
|
例2 求均等正弦曲线形膜片的位移、有效面积、安全系数和膜片特性曲线的非线性度。材料为QBe2,弹性模量1.35×105N/mm2,屈服极限σs=960MPa,膜片承受正压力p=0.16MPa,膜片尺寸R=25mm,H=1mm,h=0.2mm,断面深度的不均匀系数采用α=1.2 |
||||
|
表2 |
||||
|
项目 |
单位 |
公式及数据 |
||
|
确定 |
|
根据深度比
|
||
|
位移w0 |
mm |
|
||
|
最大应力σ |
MPa |
|
||
|
有效面积Fe |
mm2 |
|
||
|
安全系数n |
|
|
||
|
弹性特性曲线的非线性度γ |
|
根据图4,由 |
||
|
图2 膜片计算图,其波纹沿半径具有恒定 (α=0)和可变(α≠0)的深度 α—断面深度的不均匀系数
H1、H2、H3如图3所示
图3 断面深度不均匀的膜片
图2、图4和图5α值一样
图4 具有周期变化断面(α=0)膜片的非线性特性γ=f(
图5 波纹深度可变的膜片(α=1.2)的非线性度γ=f( |
||||






