|
橡胶弯曲弹簧计算公式 |
||||
|
型式及简图 |
扭转角α/rad |
刚度T'/N·mm·rad-1 |
备注 |
|
|
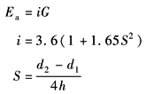
圆 柱 形 |
|
|
|
|
|
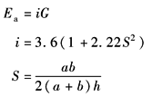
圆 环 形 |
|
|
|
|
|
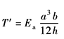
矩 形 |
|
|
|
|
|
橡胶弯曲弹簧计算公式 |
||||
|
型式及简图 |
扭转角α/rad |
刚度T'/N·mm·rad-1 |
备注 |
|
|
圆 柱 形 |
|
|
|
|
|
圆 环 形 |
|
|
|
|
|
矩 形 |
|
|
|
|