|
橡胶扭转弹簧计算公式 |
||||
|
型式及简图 |
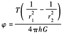
扭转角φ/rad |
刚度T'/N·mm·rad-1 |
备注 |
|
|
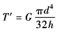
圆 柱 形 |
|
|
|
T——扭矩, N·mm |
|
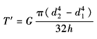
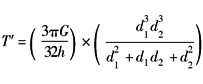
圆 环 形 |
|
|
|
|
|
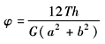
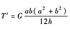
矩 形 |
|
|
|
|
|
圆 截 锥 |
|
|
|
|
|
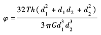
衬 套 式 |
|
|
|
|














