|
橡胶剪切弹簧计算公式 |
||||
|
型式及简图 |
变形fr/mm |
刚度P'r/N·mm-1 |
备注 |
|
|
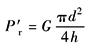
圆 柱 形 |
|
|
|
Pr——载荷,N d——直径,mm h——高度,mm |
|
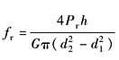
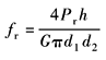
圆 环 形 |
|
|
|
d2——外径,mm d1——内径,mm |
|
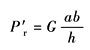
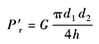
矩 形 |
|
|
|
a——矩形长边,mm b——矩形短边,mm |
|
圆 截 锥 |
|
|
|
d1——小端直径,mm d2——大端直径,mm |
|
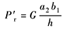
角 截 锥 |
|
有公共锥顶
无公共锥顶
|
有公共锥顶
无公共锥顶
|
a1、b1——小端长边及短边,mm a2、b2——大端长边及短边,mm |















