|
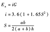
橡胶组合弹簧计算公式 |
||||
|
类别及简图 |
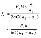
变形f,fr/mm |
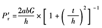
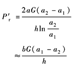
刚度P',P'r/N·mm-1 |
备注 |
|
|
压 缩 |
|
|
|
a、b——宽度和长度,mm |
|
剪 切 |
|
|
|
|
|
|
|
|
符号见图 |
|
|
|
|
|
符号见图 |
|











