|
开槽碟形弹簧计算示例 |
||
|
原始 条件 |
D=152mm,Dm=132mm,d=76mm,t=2mm,L0=12.7mm,L=10.7mm,b1=9mm,Z=12 材料:60Si2MnA,开槽形状:径向梯形 |
|
|
确 定 主 要 比 值 与 尺 寸 , 系 数 |
d/D |
d/D=76/152=0.5 |
|
Dm/d |
Dm/d=132/76=1.73 |
|
|
Dm/D |
Dm/D=132/152=0.867 |
|
|
D/Dm |
D/Dm=152/132=1.154 |
|
|
|
|
|
|
|
|
|
|
H |
|
|
|
H/t |
H/t=2.84/2=1.42 |
|
|
b2 |
b2=(Dm/d)b1=1.73×9≈15mm |
|
|
b1/b2 |
b1/b2=9/15=0.6 |
|
|
K1 |
从表开槽碟形弹簧的计算公式中表2与表3查得: |
|
|
K2 |
K1=16.8,K2=17.3,K3=1.024,C=1.12 |
|
|
K3 C |
|
|
|
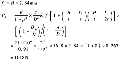
不 同 变 形 量 时 的 载 荷 |
PH |
确定封闭环在压到水平位置时的载荷
用类似方法可确定在不同变形量f1时的载荷 |
|
P0.25H |
f1=0.25H=0.71mm,P0.25H=590N |
|
|
P0.5H |
f1=0.5H=1.42mm,P0.5H=896N |
|
|
P0.75H |
f1=0.75H=2.13mm,P0.75H=1004N |
|
|
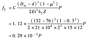
不 同 载 荷 时 的 舌 片 变 形 |
f2 |
根据公式
故 P=590N f2=0.17mm P=896N f2=0.26mm P=1004N f2=0.29mm P=1018N f2=0.295mm |
|
不同 载荷 下的 各总 变形 量 |
f |
∵ f=3.75f1+f2 ∴ P=590N,f2=0.17mm,3.75f1=2.6mm,f=2.8mm P=896N,f2=0.26mm,3.75f1=5.3mm,f=5.6mm P=1004N,f2=0.29mm,3.75f1=8.0mm,f=8.3mm P=1018N,f2=0.295mm,3.75f1=10.6mm,f=11mm |
|
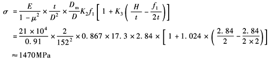
应 力 校 核 |
σ |
封闭环部分在水平位置时(f1=H=2.84mm)的应力
这一应力虽然较大,但仍可以采用 |
|
特 性 曲 线 |
|
开槽碟形弹簧的载荷—变形特性曲线
|





