|
开槽碟形弹簧的计算公式 |
||||||||||||||||||
|
|
||||||||||||||||||
|
表1 |
||||||||||||||||||
|
项目 |
单位 |
公式及数据 |
||||||||||||||||
|
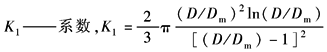
计算载荷P |
N |
式中 E——弹性模量,MPa; μ——泊松比,μ=0.3;
K1可按D/Dm从表3查得 |
||||||||||||||||
|
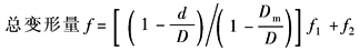
变形量f |
mm |
式中 f1——封闭环部分在直径Dm处的变形量,mm; f2——舌片的变形量,mm
式中 C——系数,可根据b1/b2值从表2查得 |
||||||||||||||||
|
应力σ |
MPa |
式中 K2——系数
K3——系数
|
||||||||||||||||
|
表2 系数C值 |
||||||||||||||||||
|
b1/b2 |
0.2 |
0.3 |
0.4 |
0.5 |
0.6 |
0.7 |
0.8 |
0.9 |
1.0 |
|||||||||
|
C |
1.31 |
1.25 |
1.20 |
1.16 |
1.12 |
1.08 |
1.05 |
1.03 |
1.0 |
|||||||||
|
表3 系数K1、K2、K3值 |
||||||||||||||||||
|
D/Dm |
K1 |
K2 |
K3 |
D/Dm |
K1 |
K2 |
K3 |
|||||||||||
|
1.10 |
24.2 |
24.2 |
1.016 |
1.40 |
8.63 |
9.80 |
1.050 |
|||||||||||
|
1.15 |
17.2 |
17.6 |
1.023 |
1.45 |
8.08 |
9.35 |
1.061 |
|||||||||||
|
1.20 |
13.7 |
14.4 |
1.030 |
1.50 |
7.64 |
9.00 |
1.066 |
|||||||||||
|
1.25 |
11.6 |
12.5 |
1.037 |
1.55 |
7.29 |
8.75 |
1.072 |
|||||||||||
|
1.30 |
10.3 |
11.3 |
1.044 |
1.60 |
7.00 |
8.53 |
1.078 |
|||||||||||
|
1.35 |
9.35 |
10.4 |
1.044 |
|
|
|
|
|||||||||||







