|
碟形弹簧计算示例 |
|||||||||||
|
例1 设计一组合碟形弹簧,其承受静载荷为5000N时的变形量要求为10mm,导杆最大直径为20mm。计算过程见表1 |
|||||||||||
|
表1 |
|||||||||||
|
计算项目 |
公 式 及 数 据 |
||||||||||
|
选择碟簧系列及组合型式 |
据导杆尺寸,从表碟簧(普通碟簧)的分类及系列中表2~表4中选取d=20.4mm的碟簧三种,尺寸如下 |
||||||||||
|
尺寸 |
D /mm |
d /mm |
t /mm |
h0 /mm |
H0 /mm |
P |
f |
σⅡ或σⅢ |
|||
|
f=0.75h0 |
|||||||||||
|
/N |
/mm |
/MPa |
|||||||||
|
A系列 |
40 |
20.4 |
2.25 |
0.9 |
3.15 |
6540 |
0.68 |
σⅡ=1340 |
|||
|
B系列 |
40 |
20.4 |
1.5 |
1.15 |
2.65 |
2620 |
0.86 |
σⅢ=1130 |
|||
|
C系列 |
40 |
20.4 |
1 |
1.30 |
2.30 |
1020 |
0.98 |
σⅢ=1070 |
|||
|
由上表,采用单片碟簧不能满足要求。采用组合弹簧时,可以有两种方案,一是用A系列碟簧对合组合,二是用B系列碟簧复合组合 |
|||||||||||
|
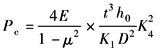
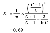
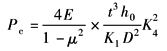
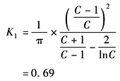
压平碟簧时的载荷Pc |
A系列D=40mm,对合组合
式中 E=2.06×105MPa μ=0.3 K4=1,无支承面 C=2,则
t=2.25mm h0=0.9mm 代入公式得Pc=8410N |
B系列D=40mm,复合组合
式中 E=2.06×105MPa μ=0.3 K4=1,无支承面 C=2,则
t=1.5mm h0=1.15mm 代入公式得Pc=3180N |
|||||||||
|
|
因是对合组合,单个弹簧载荷P=5000N
|
因是复合组合,单个碟簧载荷
|
|||||||||
|
|
由表单片碟形弹簧的特性曲线中图查得A系列, |
由表单片碟形弹簧的特性曲线中图查得B系列, |
|||||||||
|
f |
|
|
|||||||||
|
对合组合的片数及复合组合的组数 |
取20片 |
取13组,共26片 |
|||||||||
|
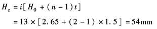
未受载荷时的自由高度Hz |
|
|
|||||||||
|
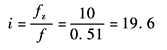
受5000N载荷作用时的高度H1 |
|
|
|||||||||
|
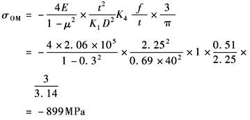
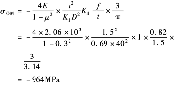
碟簧压平时,OM点的应力σOM |
超过了60Si2MnA的屈服点 |
与60Si2MnA的屈服点接近 |
|||||||||
|
弹簧的刚度P' |
|
|
|||||||||
|
最终确定方案 |
从上面计算结果表明,A系列对合组合、B系列复合组合,均能满足要求 |
||||||||||
|
例2 一碟形弹簧D=40mm,d=20.4mm,t=2.25mm,h0=0.9mm,H0=3.15mm,在P1=1950N和P2=4000N之间循环工作。试校核其寿命是否在持久寿命范围内。计算过程见表2 |
|||||||||||
|
表2 |
|||||||||||
|
计算项目 |
公 式 及 数 据 |
||||||||||
|
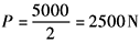
计算Pc及 |
所以 |
||||||||||
|
计算f1和f2 |
代入h0求出f1=0.198mm,f2=0.405mm |
||||||||||
|
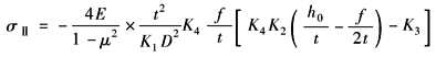
确定疲劳破坏关键部,并计算σⅡ应力和应力幅σa |
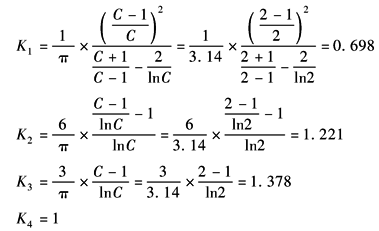
由 计算 式中
因为是无支承面,代入上式得
|
||||||||||
|
校验持久寿命范围 |
根据σmin=342MPa,从表许用应力及极限应力曲线图3查得N≥2×106时的σmax=870MPa 疲劳应力幅σra=870-342=528>σa 所以此碟簧能持久工作 |
||||||||||
















