|
等节距蜗卷螺旋弹簧的计算 |
||||||||||||||
|
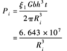
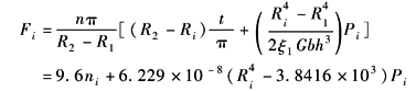
试设计原始条件b、h、R2、R1、P'的数值与前例(等螺旋角蜗卷螺旋弹簧)完全一致的等节距(t=9.6mm)蜗卷螺旋弹簧。这里,令弹簧两端的支承圈各为3/4圈 由于ξ1、ξ2、n、Ri、R'2、R'1、li,l'2,l'1诸值在前例中已求出,其值与本例相同,现仅就Hi、Pi、Fi、τi等尚需重新计算的项目列入表1中 |
||||||||||||||
|
表1 |
||||||||||||||
|
项目 |
单位 |
公式及数据 |
||||||||||||
|
参 数 计 算 |
从大端到弹簧圈ni的自由高度Hi |
mm |
|
|||||||||||
|
弹簧圈ni开始接触时弹簧所受的载荷Pi |
N |
|
||||||||||||
|
弹簧圈ni接触后弹簧的变形Fi |
mm |
|
||||||||||||
|
弹簧圈ni接触后的应力τi |
MPa |
|
||||||||||||
|
从表1中所得的等节距蜗卷螺旋弹簧的主要几何尺寸、载荷、变形和应力等列于表2 |
||||||||||||||
|
表2 |
||||||||||||||
|
ni |
Ri/mm |
Hi/mm |
Pi/N |
Fi/mm |
τi/MPa |
ni |
Ri/mm |
Hi/mm |
Pi/N |
Fi/mm |
τi/MPa |
|||
|
0 |
43.0 |
28 |
836 |
17.6 |
227 |
3 |
25.6 |
56.8 |
3960 |
38.5 |
804 |
|||
|
1 |
37.2 |
37.6 |
1290 |
24.7 |
373 |
4 |
19.8 |
66.4 |
8558 |
44.6 |
1373 |
|||
|
2 |
31.4 |
47.2 |
2146 |
31.7 |
527 |
5 |
14.0 |
76 |
24210 |
48.0 |
2852 |
|||
|
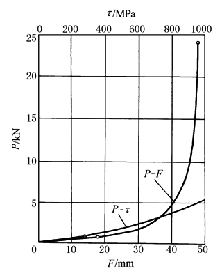
图1是根据表2所列数值绘制的等节距蜗卷螺旋弹簧的几何尺寸(图a)和材料尺寸(图b),图2为所设计弹簧的特性曲线及载荷与应力的关系曲线
图1 等节距蜗卷螺旋弹簧计算例题图
图2 弹簧的特性曲线及载荷和应力关系曲线 |
||||||||||||||





