|
等螺旋角蜗卷螺旋弹簧的计算 |
|||||||||
|
表1 |
|||||||||
|
项目 |
单位 |
公式及数据 |
|||||||
|
原 始 条 件 |
弹簧类型 |
|
等螺旋角的蜗卷螺旋弹簧 |
||||||
|
板宽b |
mm |
28 |
|||||||
|
板厚h |
mm |
4 |
|||||||
|
大端工作弹簧圈半径R2 |
mm |
43 |
|||||||
|
小端工作弹簧圈半径R1 |
mm |
14 |
|||||||
|
弹簧圈开始接触前的刚度P' |
N/mm |
48 |
|||||||
|
弹簧圈开始接触时的载荷Pb |
N |
1260 |
|||||||
|
大端支承圈数n'2 |
圈 |
3/4 |
|||||||
|
小端支承圈数n'1 |
圈 |
3/4 |
|||||||
|
弹簧材料 |
|
60Si2MnA |
|||||||
|
热处理后硬度 |
HRC |
≥47 |
|||||||
|
参 数 计 算 |
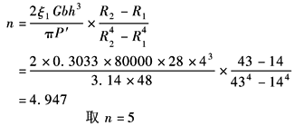
弹簧的工作圈数n |
圈 |
|
||||||
|
弹簧的螺旋角α |
(°) |
|
|||||||
|
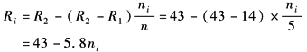
弹簧圈ni的半径Ri |
mm |
|
|||||||
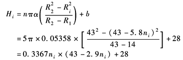
|
从大端到弹簧圈ni的自由高度Hi |
mm |
|
|||||||
|
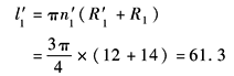
弹簧扁钢的长度li |
mm |
|
|||||||
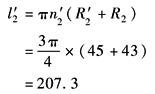
|
大端支承圈的扁钢长度l'2 |
mm |
|
|||||||
|
小端支承圈的扁钢长度l'1 |
mm |
|
|||||||
|
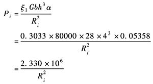
弹簧圈ni开始接触时弹簧所受的载荷Pi |
N |
|
|||||||
|
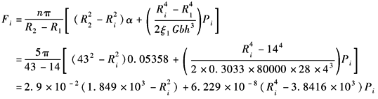
弹簧圈ni开始接触后弹簧的变形Fi |
mm |
|
|||||||
|
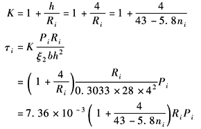
弹簧圈ni开始接触后弹簧圈ni的应力τi |
MPa |
|
|||||||
|
将上列各式计算所得等螺旋角蜗卷螺旋弹簧的主要几何尺寸、载荷、应力列于表2 图1是根据表2所列数值绘制的等螺旋角蜗卷螺旋弹簧的几何尺寸(图a)和材料尺寸(图b),图2是所设计弹簧的特性曲线及载荷P与应力τ的关系曲线 |
|||||||||
|
表2 |
|||||||||
|
ni |
Ri/mm |
Hi/mm |
li/mm |
Pi/N |
Fi/mm |
τi/MPa |
|||
|
0 |
43.0 |
28 |
0 |
1260 |
26.5 |
417 |
|||
|
0.5 |
40.1 |
35 |
130.5 |
|
|
|
|||
|
1.0 |
37.2 |
41.5 |
251.9 |
1684 |
33.2 |
486 |
|||
|
1.5 |
34.3 |
47.5 |
364.3 |
|
|
|
|||
|
2.0 |
31.4 |
53.1 |
462.1 |
2363 |
38.8 |
580 |
|||
|
2.5 |
28.5 |
58.1 |
561.6 |
|
|
|
|||
|
3.0 |
25.6 |
62.7 |
646.6 |
3555 |
43.3 |
722 |
|||
|
3.5 |
22.7 |
66.7 |
722.5 |
|
|
|
|||
|
4.0 |
19.8 |
70.3 |
789.3 |
5943 |
46.6 |
954 |
|||
|
4.5 |
16.9 |
73.4 |
846.9 |
|
|
1400 |
|||
|
5.0 |
14.0 |
76 |
895.4 |
11890 |
48.0 |
|
|||
|
图1 等螺旋角蜗卷螺旋弹簧计算例题图
图2 弹簧的特性曲线及载荷和应力关系曲线 |
|||||||||












