|
蜗卷螺旋弹簧的计算公式 |
|||||||||
|
|
|||||||||
|
表1 |
|||||||||
|
项目 |
公式及数据 |
||||||||
|
螺旋角α=常数 |
节距t=常数 |
应力τ=常数 |
|||||||
|
弹 簧 圈 开 始 接 触 前 |
从大端工作圈数起的任意圈ni的半径Ri/mm |
式中 R2——大端工作弹簧圈半径,mm; R1——小端工作弹簧圈半径,mm |
|||||||
|
变形F/mm |
式中 ξ1——系数,其值可查表2; b——弹簧材料的宽度,mm; h——弹簧材料的厚度,mm; P——载荷,N |
||||||||
|
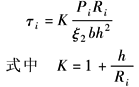
应力τ/MPa |
式中 K——曲度系数,其值 ξ2——系数,其值可查表2 |
||||||||
|
刚度P'/N·mm-1 |
|
||||||||
|
弹 簧 圈 开 始 接 触 后 |
弹簧圈ni接触时的载荷Pi/N |
|
|
|
|||||
|
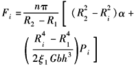
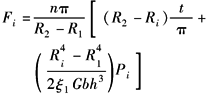
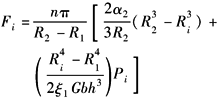
弹簧圈ni接触时的变形Fi/mm |
|
|
|
||||||
|
弹簧圈ni接触时的应力τi/MPa |
|
||||||||
|
从大端数起到弹簧圈ni的自由高度Hi/mm |
|
|
|
||||||
|
弹簧工作圈的自由高度H0/mm |
|
|
|
||||||
|
由大端到弹簧圈ni的有效工作圈的扁钢的长度li/mm |
|
||||||||
|
大端支承圈的扁钢长度l'2/mm |
式中 n'2——大端支承圈数; R'2——大端支承圈的最大外半径,mm |
||||||||
|
小端支承圈的扁钢长度l'1/mm |
式中 n'1——小端支承圈数; R'1——小端支承圈的最小内半径,mm |
||||||||
|
表2 ξ1和ξ2之数值 |
|||||||||
|
b/h |
ξ1 |
ξ2 |
b/h |
ξ1 |
ξ2 |
||||
|
1 |
0.1406 |
0.2082 |
2.25 |
0.2401 |
0.2520 |
||||
|
1.05 |
0.1474 |
0.2112 |
2.5 |
0.2494 |
0.2576 |
||||
|
1.1 |
0.1540 |
0.2139 |
2.75 |
0.2570 |
0.2626 |
||||
|
1.15 |
0.1602 |
0.2165 |
3 |
0.2633 |
0.2672 |
||||
|
1.2 |
0.1661 |
0.2189 |
3.5 |
0.2733 |
0.2751 |
||||
|
1.25 |
0.1717 |
0.2212 |
4 |
0.2808 |
0.2817 |
||||
|
1.3 |
0.1717 |
0.2236 |
4.5 |
0.2866 |
0.2870 |
||||
|
1.35 |
0.1821 |
0.2254 |
5 |
0.2914 |
0.2915 |
||||
|
1.4 |
0.1869 |
0.2273 |
6 |
0.2983 |
0.2984 |
||||
|
1.45 |
0.1914 |
0.2289 |
7 |
0.3033 |
0.3033 |
||||
|
1.5 |
0.1958 |
0.2310 |
8 |
0.3071 |
0.3071 |
||||
|
1.6 |
0.2037 |
0.2343 |
9 |
0.3100 |
0.3100 |
||||
|
1.7 |
0.2109 |
0.2375 |
10 |
0.3123 |
0.3123 |
||||
|
1.75 |
0.2143 |
0.2390 |
20 |
0.3228 |
0.3228 |
||||
|
1.8 |
0.2174 |
0.2404 |
50 |
0.3291 |
0.3291 |
||||
|
1.9 |
0.2233 |
0.2432 |
100 |
0.3312 |
0.3312 |
||||
|
2 |
0.2287 |
0.2459 |
∞ |
0.3333 |
0.3333 |
||||















