|
等应力蜗卷螺旋弹簧的计算 |
||||||||||||||
|
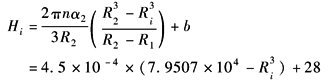
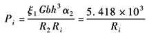
试设计原始条件b、h、R2、R1、P' 的数值与前两例完全一致的等应力蜗卷螺旋弹簧。这里,令弹簧两端的支承圈各为3/4圈 由于ξ1、ξ2、n、Ri、R'2、R'1、li、l'2、l'1诸值在等螺旋角蜗卷螺旋弹簧计算中业已求出,其值与本例相同,现仅就αi、Hi、Pi、τi、Fi等尚需重新计算的项目列入表1中 |
||||||||||||||
|
表1 |
||||||||||||||
|
项目 |
单位 |
公式及数据 |
||||||||||||
|
参 数 计 算 |
弹簧圈ni的螺旋角αi |
(°) |
|
|||||||||||
|
从大端到弹簧圈ni的自由高度Hi |
mm |
|
||||||||||||
|
弹簧圈ni开始接触时弹簧所受的载荷Pi |
N |
|
||||||||||||
|
弹簧圈ni接触后弹簧的变形Fi |
mm |
|
||||||||||||
|
弹簧圈ni接触后的应力τi |
MPa |
|
||||||||||||
|
根据表1所得等应力蜗卷螺旋弹簧的主要尺寸、载荷、变形和应力列于表2 |
||||||||||||||
|
表2 |
||||||||||||||
|
ni |
Ri/mm |
Hi/mm |
Pi/N |
Fi/mm |
τi/MPa |
ni |
Ri/mm |
Hi/mm |
Pi/N |
Fi/mm |
τi/MPa |
|||
|
0 |
43.0 |
28 |
1260 |
26.5 |
417 |
3.0 |
25.6 |
56.2 |
2116 |
33.4 |
430 |
|||
|
0.5 |
40.1 |
34.8 |
|
|
|
3.5 |
22.7 |
58.5 |
|
|
|
|||
|
1.0 |
37.2 |
40.6 |
1456 |
29.6 |
420 |
4.0 |
19.8 |
60.3 |
2736 |
34.3 |
439 |
|||
|
1.5 |
34.3 |
45.6 |
|
|
|
4.5 |
16.9 |
61.6 |
|
|
|
|||
|
2.0 |
31.4 |
49.9 |
1725 |
31.9 |
424 |
5.0 |
14.0 |
62.5 |
3870 |
34.5 |
456 |
|||
|
2.5 |
28.5 |
53.4 |
|
|
|
|
|
|
|
|
|
|||
|
图1是根据表2所列数值绘制的等应力蜗卷螺旋弹簧的几何尺寸(图a),弹簧材料尺寸(图b),图2为所设计弹簧的特性曲线及载荷与应力的关系曲线
图1 等应力蜗卷螺旋弹簧计算例题图
图2 弹簧的特性曲线及载荷和应力的关系曲线 |
||||||||||||||





