|
截锥螺旋弹簧的计算示例 |
||||
|
项目 |
单位 |
公式或数据 |
||
|
已 知 条 件 |
弹簧类型 |
|
等节距截锥螺旋弹簧的计算 |
等螺旋升角截锥螺旋弹簧的计算 |
|
弹簧钢丝直径d |
mm |
d=2mm |
d=2mm |
|
|
大端圈半径R2 |
mm |
R2=20mm |
R2=20mm |
|
|
小端圈半径R1 |
mm |
R1=10mm |
R1=10mm |
|
|
弹簧的自由高度H0 |
mm |
H0=25mm |
H0=25mm |
|
|
节距t或螺旋升角 |
mm或(°) |
t=5.4mm |
3°43' |
|
|
有效圈数n |
圈 |
n=4.25圈 |
n=4.25圈 |
|
|
参 数 计 算 |
大端圈开始触合前的刚度P' |
N/mm |
|
— |
|
大端圈开始触合时的载荷Pc |
N |
|
|
|
|
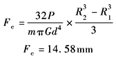
大端圈开始触合时的变形Fc |
mm |
|
|
|
|
弹簧完全压并时的载荷PJ |
N |
|
|
|
|
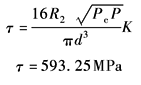
弹簧完全压并时的应力τ |
MPa |
|
|
|
|
弹簧丝有效圈的展开长度L |
mm |
|
|
|











