|
截锥螺旋弹簧的计算公式 |
|||||||
|
(1)等节距截锥螺旋弹簧的计算公式(见表1) |
|||||||
|
表1 等节距截锥螺旋弹簧的计算公式 |
|||||||
|
所求项目 |
代号 |
单位 |
计算公式 |
||||
|
等节距t=常数 |
|||||||
|
|
|
||||||
|
簧丝上任意圈的曲率半径 |
R |
mm |
|
||||
|
自由高度 |
H0 |
mm |
|
||||
|
节距 |
t |
mm |
|
||||
|
弹簧丝有效圈的展开长度 |
L |
mm |
|
||||
|
钢丝直径 |
d |
mm |
|
||||
|
压并时高度 |
Hb |
mm |
|
|
|||
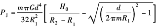
|
大端开始触合时的负荷 |
Pc |
N |
|
|
|||
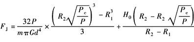
|
全压并时的极限负荷 |
PJ |
N |
|
|
|||
|
在0<P≤Pc阶段时的变形量 |
Fc |
mm |
|
||||
|
在0<P≤Pc阶段时的刚度 |
P' |
N/mm |
|
||||
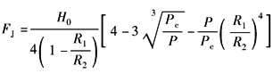
|
在Pc<P≤PJ阶段时的变形量 |
FJ |
mm |
|
|
|||
|
强度校核剪切应力 |
τ |
MPa |
|
||||
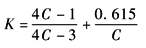
|
曲率系数 |
K |
|
|
||||
|
指数 |
C |
|
|
||||
|
(2)等螺旋升角截锥螺旋弹簧的计算公式(见表2) |
|||||||
|
表2 等螺旋升角截锥螺旋弹簧的计算公式 |
|||||||
|
所求项目 |
代 号 |
单 位 |
计算公式 |
||||
|
等螺旋升角α=常数 |
|||||||
|
|
|
||||||
|
弹簧丝上任意圈的曲率半径 |
R |
mm |
|
||||
|
自由高度 |
H0 |
mm |
|
||||
|
螺旋升角 |
α |
rad |
|
||||
|
节距 |
t |
mm |
— |
||||
|
弹簧丝有效圈的展开长度 |
L |
mm |
|
||||
|
钢丝直径 |
d |
mm |
|
||||
|
压并高度 |
Hb |
mm |
|
— |
|||
|
大端圈开始触合时的负荷 |
Pc |
N |
|
||||
|
全压并时的极限负荷 |
PJ |
N |
|
|
|||
|
在0<P≤Pc阶段时的变形量 |
Fc |
mm |
|
||||
|
在Pc<P≤PJ阶段时的变形量 |
FJ |
mm |
|
— |
|||
|
强度校核剪切应力 |
τ |
MPa |
|
— |
|||
|
曲率系数 |
K |
|
|
||||
|
指数 |
C |
|
|
||||



















