|
耗气量计算 |
||
|
耗气量是指气缸往复运动时所消耗的压缩空气量,耗气量大小与气缸的性能无关,但它是选择空压机排量的重要依据 |
||
|
最大耗气量 Qmax |
定义 |
指气缸活塞完成一次行程所需的耗气量 |
|
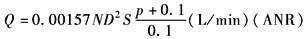
计算 公式 |
式中 Qmax——最大耗气量,L/min(ANR) D——缸径,cm S——气缸行程,cm t——气缸一次往复行程所需的时间,s p——工作压力,MPa |
|
|
平均耗气量 |
定义 |
是由气缸内部容积和气缸每分钟的往复次数算出的耗气量平均值 |
|
计算 公式 |
式中 N——气缸每分钟的往复次数 |
|
|
耗气量计算 曲线图 |
上图表示了耗气量与工作压力和缸径之间的关系。耗气量用单位行程的当量耗气量表示 |
|
|
例题 |
例 有一缸径为50mm的普通型双作用气缸,缸径20mm,行程500mm,工作压力0.45MPa,求耗气量 解:根据上图所示,确定选定缸径处的横线与工作压力处直线之间的交点,然后确定耗气量,但所得的值必须乘以气缸行程(cm)。这里,对于无杆腔的耗气量近似为0.09L/cm×50cm=4.5L。对于有杆腔,计算耗气量时,还应用行程体积减去活塞杆的体积,若活塞杆直径为20mm,其对应的耗气量应近似为0.014L/cm×50cm=0.7L。因此,有杆腔实际的耗气量为3.8L,则对于一次往复行程气缸的总耗气量为4.5L+3.8L=8.3L 利用上述公式计算的耗气量仅为近似值,因为有时气缸内的空气并没有完全排放掉(特别是高速状况下),实际所需耗气量可能低于图上所读的数据 |
|

