|
进、排气口计算 |
||||||||||||
|
标准尺寸 |
通常气缸的进、排气口的直径大小与气缸速度有关,根据ISO-15552、ISO-7180规定(进排气口的公制尺寸按照ISO261,英制按ISO228-1规定),气缸的进、排气口的直径见下表(ISO标准规定) /mm |
|||||||||||
|
气缸直径 |
32 |
40 |
50 |
63 |
80 |
100 |
125 |
150 |
200 |
250 |
320 |
|
|
气口尺寸 |
M10×1 (G1/8) |
M14×1.5 (G¼) |
M14×1.5 (G¼) |
M18×1.5 (G3/8) |
M18×1.5 (G3/8) |
M22×1.5 (G½) |
M22×1.5 (G½) |
M27×2 (G¾) |
M27×2 (G¾) |
M33×2 (G1) |
M33×2 (G1) |
|
|
特殊设计 |
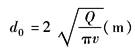
如特殊设计的气缸,可按照下式进行计算
式中,Q为工作压力下气缸的耗气量,m3/s;υ为空气流经进排气口的速度,一般取υ=10~15m/s。把计算的进排气口当量直径进行圆整后,按照ISO 7180进行调整 |
|||||||||||

