|
尼龙轴套设计举例 |
|
|
轴套内径d=28mm,壁厚S=3mm,轴颈公差d11,材料为尼龙1010 |
|
|
项 目 |
计 算 结 果 |
|
轴承座名义内径 轴承座内径制造尺寸 轴套外径过盈量 轴套外径 实际过盈量 |
|
|
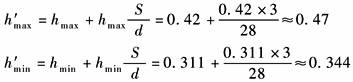
实际缩小量h' |
|
|
轴套的内径 |
|
|
轴套压配合后内径 |
|
|
轴套与轴颈实际配合间隙 |
|
|
核算配合间隙 |
|





