|
软轴的选择 |
|||||||||||||||||||||||||||||||||||||||||||||||||||||||||||||||||||||||||||||||||||||||||||||||||||||||||||||||||||||||||||||||||||||||||||||||||||||
|
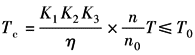
软轴直径可按计算转矩Tc及软轴工作时的弯曲半径确定,Tc应不超过下表所规定的T0。计算转矩Tc按下式计算:
式中 Tc—— 软轴传递的计算转矩,N·cm; T—— 软轴从动端所需传递的转矩,N·cm; n—— 软轴工作转速,r/min,当n<n0时,用额定转速n0代入; K1—— 过载荷系数,当瞬时最大载荷不超过软轴无弯曲时允许的最大转矩时,取K1=1;当大于允许的最大转矩时,取K1为二者之比; K2—— 转向系数,软轴旋转时外层钢丝趋于拧紧时,取K2=1;当软轴必须正反转时,取K2=1.5; K3—— 跨距系数,当软轴在软管内的支承跨距与软轴直径之比小于50时,取K3=1;大于150时,取K3=1.25; η—— 软轴的传动效率,通常η=1~0.7。当软轴无弯曲工作时,η=1;弯曲半径愈小、弯曲段愈多,η值愈低。
软轴通常用在传动系统中转速较高的一级,并使其工作转速尽可能接近额定转速。传动的长度一般是几米到十几米;如更长时,建议只在弯曲处采用软轴。
使用软轴时应注意以下几点。 (1)钢丝软轴必须定期涂润滑脂。润滑脂品种按工作温度选择。软管应定期清洗。 (2)切勿把控制型软轴与功率型软轴相互替代,因两者特性显著不同。 (3)在运输和安装过程中,不得使软轴的弯曲半径小于允许最小半径(一般为钢丝软轴直径的15~20倍)。运转时应尽可能使软管定位,并使其在靠近接头部分伸直。 (4)钢丝软轴和软管要分别与接头牢固连接。当工作中弯曲半径变化较大时,应使钢丝软轴或软管的接头有一端可以滑动,以补偿软轴弯曲时的长度变化。 |
|||||||||||||||||||||||||||||||||||||||||||||||||||||||||||||||||||||||||||||||||||||||||||||||||||||||||||||||||||||||||||||||||||||||||||||||||||||

