|
平面应力状态下斜截面上的应力、主应力、最大切应力及应力圆 |
||||
|
应 力 状 态 |
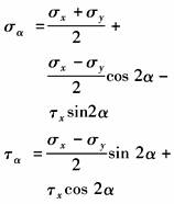
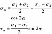
斜面上的应力 (σα、τα) |
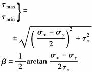
主应力(σ1、σ2、σ3) 及主方向角(α0) |
最大切应力(τmax) 及其位置(β) |
说 明 |
|
两轴应力状态(一般情况)
|
|
|
|
(1)主平面——单元体上切应力为零的平面 (2)主方向角——主平面的法线方向角称为方向角 (3)主应力——主平面上的正应力称为主应力,分别用σ1、σ2、σ3表示,其大小按代数值顺序排列为σ1>σ2>σ3 (4)作用于受力构件某点单元体上的受力图如下
σx、σy——单元体上的正应力 τx——单元体上的切应力 α——斜截面de与截面ad间的夹角,其转向由x轴起量,逆时针转为正,反之为负 σα、τα——斜截面上的应力 α0——主应力α1与x轴的夹角,即σ1的方向,叫主方向 β——最大切应力τmax作用面法线与x轴的夹角,即τmax作用面的位置,与主平面相差±45° |
|
|
|
|
||
|
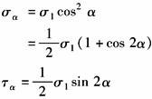
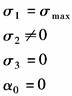
单轴应力状态
实例
|
|
|
|
|
|
|
|
|
||
|
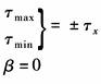
两轴应力状态(纯剪)
|
|
|
|
|
|
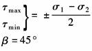
σα=-τxsin2α τα=τxcos2α |
σ1=σmax=τx σ2=0 σ3=αmin=-τx α0=-45° |
|
||
|
两轴应力状态(已知主平面上的应力),设σ1>σ2
|
|
|
|
同上 |
|
|
|
|
||
|
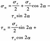
两轴应力状态(轴向拉(压)与纯剪切的合成)
|
|
|
|
|
|
|
|
|
||
|
平面应力状态单元体 单元体应力圆 |
应力圆的定义: 将σα及τα式中参变量2α消去,可得到以σα及τα为变量的圆方程 在σ-τ坐标系中,以坐标为圆心,以为半径作圆即为应力圆。当已知单元体上所受应力σx、σy、τx、τy时,则此两轴应力状态下任意斜面上的应力可由此应力圆上对应点的坐标求得 应力圆画法: (1)取直角坐标系,σ为横轴,τ为纵轴 (2)根据单元体abcd已知应力(σx、τx)及(σy、τy)按一定比例尺,定出A、B两点,注意应力正负应与坐标轴正负向一致 (3)连A、B两点的直线交σ轴于C点,以C为圆心,CA为半径作圆,此圆即为单元体的应力圆 |
应力圆性质: (1)应力圆上任一点的坐标值必对应于单元体某一截面上的应力,如应力圆上的F点对应于单元体de面上的应力σα、τα (2)应力圆上任意两点所夹的圆心角2α,对应于单元体上与该两点相对应截面外法线的夹角α,它们转向相同,大小差两倍 (3)应力圆上的起量基点与单元体上的起量基面相对应,如应力圆上A点(σx、τx)为起量基点,则单元体上与A点相对应的截面bc为起量基面 如:由应力圆上量得斜截面上的应力为σα=OG,τα=FG。主应力σ1=OD,σ2=OE,主方向。最大、最小切应力为τmax=CM,τmin=CN,其作用面位置为 |
||
|
注:1.表中各式所表示的应力都设为正,若按表所列公式算出的某应力值或偏转角为负,则其方向与图中表示的方向相反。 2.应用举例(如图1所示)某设备主轴,已知在S-S截面上由额定扭矩引起的切应力τ=1650N/cm2,主轴自重引起的弯曲正应力σ=2500N/cm2,求S-S截面上危险点C的主应力及最大切应力。并进行强度校核
图1 图2 |
||||
|
解 在危险点C取单元体,其上作用有切应力τx=1650N/cm2,正应力σx=2500N/cm2,如图2a。 |
||||
|
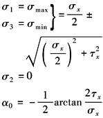
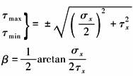
(1)解析法:
求出最大主应力和最大切应力后,可按第三强度理论进行强度校核 (2)图解法:作σ-τ坐标,选取一定的比例尺,取OK=σx=2500N/cm2,AK=τx=1650N/cm2得A点,因σy=0,取OB=τy=-1650N/cm2得B点,连接AB交σ轴于C点,以C点为圆心、CA为半径作圆,此圆即为所取单元体的应力圆,如图2b,从应力圆上可以按比例尺直接量得: σ1=OD=3320N/cm2,σ2=0,σ3=OE=-820N/cm2,2α0=∠ACD=-52.8°,α0=-26.4°,τmax=CM=2070N/cm2。 |





































