|
真空发生器的主要技术参数 |
||||
|
主要技术参数 |
真空发生器的主要技术参数为当在某一个工作压力时所产生的真空度(见图a) |
(a) |
重 要 参 数 |
抽空时间——产生特定真空所需要的时间,s 耗气量——喷射器产生特定的真空所需消耗的空气量,L/min 效率——抽空时间、耗气量以及抽空容积 抽气流量——喷射器所能抽入的空气量,L/min |
|
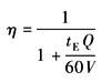
真空发生器效率计算式 |
式中 η——低压力时真空喷射器的效率 tE——抽空时间,s Q——耗气量,L/min V——抽空容积(标准容积),L |
(b) |
||
|
在实际应用中,真空喷射器的功能是在尽可能短的时间内以最小的耗气量(能耗)产生一定的真空,这是用来评判不同类型真空发生器性能的最客观的标准 |
||||
|
真空发生器的抽空时间 |
衡量一个真空发生器性能的另一个重要指标,是看它在吸取一个不泄漏材料且达到一定的真空度时所需的时间多少。这一参数值就是真空发生器的抽空时间。在容积一定的情况下,抽空时间和真空压力的关系曲线是按比例上升的。也就是,当真空水平被抽得越高时,真空发生器的抽气能力将变得越弱,同时达到更高真空度所需的时间也越长(见图c) |
|
||




