|
电磁换向阀主要技术参数 |
|||||||||||||||||||||||||||||||||||||||||||||||||||||||||||||||||||||||||||||||
|
工 作 压 力 范 围 |
换向阀的工作压力范围是指阀能正常工作时输入的最高或最低(气源)压力范围。所谓正常工作是指阀的灵敏度和泄漏量应在规定指标范围内。阀的灵敏度是指阀的最低控制压力、响应时间和工作额度在规定指标范围内 最高工作压力主要取决于阀的强度和密封性能,常见的为1.0MPa、0.8MPa,有的达1.6MPa 最低工作压力与阀的控制方式、阀的结构型式、复位特性以及密封型式有关 |
||||||||||||||||||||||||||||||||||||||||||||||||||||||||||||||||||||||||||||||
|
内先导 |
自控式(内先导)换向阀的最低工作压力取决于阀换向时的复位特性,工作压力太低,则先导控制压力也低,作用于活塞的推力也低,当它不能克服复位力时,阀不能被换向工作。如减小复位力,阀开关时间过长,动作不灵敏 |
||||||||||||||||||||||||||||||||||||||||||||||||||||||||||||||||||||||||||||||
|
外先导 |
他控式(外先导)换向阀的工作压力与先导控制功能无关,先导控制的气源为另行供给。因此,其最低工作压力主要取决于密封性能,工作压力太低,往往密封不好,造成较大的泄漏 |
||||||||||||||||||||||||||||||||||||||||||||||||||||||||||||||||||||||||||||||
|
控 制 压 力 |
控制压力是指在额定压力条件下,换向阀能完成正常换向动作时,在控制口所加的信号压力。控制压力范围就是阀的最低控制压力和最高控制压力之间的范围 最低控制压力的大小与阀的结构型式,尤其对于软密封滑柱式阀的控制压力与阀的停放时间关系较大。当工作压力一定时,阀的停放时间越长,则最低控制压力越大,但放置时间长到一定以后,最低控制压力就稳定了。上述现象是由于橡胶密封圈在停放过程中与金属阀体表面产生亲和作用,使静摩擦力增加,对差压控制的滑阀,控制压力却随工作压力的提高而增加。这些现象在选用换向阀时应予注意。而截止式阀或同轴截止式阀的最低控制压力与复位力有关。外先导阀与工作压力关系不大,但内先导阀与工作压力有关,必须有一个最低的工作压力范围 |
||||||||||||||||||||||||||||||||||||||||||||||||||||||||||||||||||||||||||||||
|
介 质 温 度 和 环 境 温 度 |
流入换向阀的压缩空气的温度称为介质温度,阀工作场所的空气温度称为环境温度。它们是选用阀的一项基本参数,一般标准为5~60℃。若采用干燥空气,最低工作温度可为-5℃或-10℃ 如要求阀在室外工作,除了阀内的密封材料及合成树脂材料能耐室外的高、低温外,为防止阀及管道内出现结冰现象,压缩空气的露点温度应比环境温度低10℃。流进阀的压缩空气,虽经过滤除水,但仍会含少量水蒸气,气流高速流经元件内节流通道时,会使温度下降,往往会引起水分凝结成水或冰 环境温度的高或低,会影响阀内密封圈的密封性能。环境温度过高,会使密封材料变软、变形。环境温度过低,会使密封材料硬化、脆裂。同时,还要考虑线圈的耐热性 |
||||||||||||||||||||||||||||||||||||||||||||||||||||||||||||||||||||||||||||||
|
流
量
特
性 |
表示气动控制阀流量特性的常用方法 |
||||||||||||||||||||||||||||||||||||||||||||||||||||||||||||||||||||||||||||||
|
声速 流导c 和临界 压力比 b |
A—压缩气源和过滤器;B—调压阀;C—截止阀;D—测温管;E—温度测量仪;F—上游压力测量管;G—被测试元件; H—下游压力测量管;I—上游压力表或传感器;J—差动压力表(分压表)或传感器;K—流量控制阀;L—流量测量装置
图a所示为ISO6358标准测试元件流量性能的回路,其中图a1适用于被测元件具有出入接口的试验回路,图a2适用于元件出口直接通大气的试验回路。测试时,只要测定临界状态下气流达到的p*1、T*1和Q*m以及任一状态下元件的上游压力p1以及通过元件的压力降Δp和流量Qm,分别代入式(1)和式(2)可算出c值和b值。若已知元件的c和b参数,可按式3和式4计算通过元件的流量 国际标准ISO 6358气动元件流量特性中,用声速流导c和临界压力比b来表示方向控制阀的流量特性。参数c、b分别按下式计算
式中 p*1——处于临界状态下元件的上游压力,Pa T*1——处于临界状态下元件的上游温度,K Q*m——处于临界状态下元件的流量,kg/s Δp——被测元件前后两端压降,Pa p1——被测元件上游压力,Pa Qm——通过元件的质量流量,kg/s T0——标准状态下的温度,T0=(273+20)K ρ0——标准状态下的空气密度,ρ0=1.209kg/m3 用ISO6358气动元件流量标准的一组参数b和c能完整地表征方向控制阀的流量特征,参数含义明确。c值反映了折算成标准温度下处于临界状态的气动元件,单位上游压力所允许通过的最大体积流量值,该值越大,说明气动元件的流量性能越好;b值反映了气动元件达到临界状态所必需的条件,在相同的流量条件下,b值越大则说明在气动元件上产生的压力降越小 |
||||||||||||||||||||||||||||||||||||||||||||||||||||||||||||||||||||||||||||||
|
标准 额定流 量QNn |
标准额定流量QNn是指在标准条件下的额定流量,其单位是L/min。额定流量Qn是指在额定条件下测得的流量。图b所示为用于测量标准额定流量的回路 通常对方向控制阀来说,测试时调定的输入电压p1为0.6MPa,输出压力为0.5MPa,通过被测元件的流量(ANR)即为标准额定流量QNn |
||||||||||||||||||||||||||||||||||||||||||||||||||||||||||||||||||||||||||||||
|
流通 能力C 值,KV 值及流 量系数 CV值 |
阀的流通能力是指在规定压差条件下,阀全开时,单位时间内通过阀的液体的体积数或质量数 |
||||||||||||||||||||||||||||||||||||||||||||||||||||||||||||||||||||||||||||||
|
公制 |
C值(或KV值)是公制单位表示阀的流通能力,它的定义为阀全开状态下以密度为1g/cm3的清水在阀前后压差保持10N/cm2,每小时通过阀的水的体积数(m3)。按原定C值的压差9.8×104Pa,KV值的压差为1bar,两者基本相同 |
||||||||||||||||||||||||||||||||||||||||||||||||||||||||||||||||||||||||||||||
|
英制 |
CV值是英制单位表示阀的流通能力,它的定义为阀前后压差保持1psi(6894.76Pa)时,每分钟流过60°F(15.6℃)水的加仑数(美制加仑数,lu.s.gal=3.785L) C值与CV值之间的换算关系为 CV=1.167C |
||||||||||||||||||||||||||||||||||||||||||||||||||||||||||||||||||||||||||||||
|
有效 截面 积S |
阀的有效截面积是指某一假想的截面积为S的薄壁节流孔,当该孔与阀在相同条件下通过的空气流量相等时,则把此节流孔的截面积S称为阀的有效截面积,单位为mm2 有效截面积S与流量系数CV的换算关系为
S=16.98CV 换向阀的标准额定流量QNn与流通能力的换算关系为
QNn=1100KV QNn=984CV |
||||||||||||||||||||||||||||||||||||||||||||||||||||||||||||||||||||||||||||||
|
切 换 时 间 |
2007年底,我国参照ISO 12238:200l国际标准,对过去的换向时间称谓改为切换时间。切换时间是指出气口只有一个压力传感器连接时,从电气或 |
||||||||||||||||||||||||||||||||||||||||||||||||||||||||||||||||||||||||||||||
|
者气动的控制信号变化开始,到相关出气口的压力变化到额定压力的10%时所对应的滞后时间。换向阀切换时间的测试方法见图c 新的切换时间规定与旧的换向时间定义和数值都不同,新的切换时间是在规定的工作压力、输出口不接负载的条件下,从一开始给控制信号(接通)到阀的输出压力上升到输入压力10%,或下降到原来压力90%的时间 影响阀的切换时间因素是复杂的,它与阀的结构设计有关,与电磁线圈的功率有关(换向力的大小),与换向行程有关,与复位可动部件弹簧力及密封件在运动时摩擦力等因素均有关(密封件结构、材质等) 通常直动式电磁阀比先导式电磁阀的换向时间短,双电控阀比单电控阀的换向时间短,交流电磁阀比直流电磁阀的换向时间短,二位阀比三位阀的换向时间短,小通径的阀比大通径阀的换向时间短 注意:当选用某一个阀时,切换时间是表征了阀的动态性能,是一个重要参数。要注意区分各个国家(美国、欧洲、日本、德国)对阀切换时间的规定(详见“气动相关技术标准及资料”一章),美国、欧洲、日本、德国 |
1—控制阀;2—控制压力传感器;3—压力传感器; 4—输出记录仪;5—被测试阀;6—符合ISO6358规 定的压力测量管;7—截止阀(任选);8—温度计;9—供气容器 |
||||||||||||||||||||||||||||||||||||||||||||||||||||||||||||||||||||||||||||||
|
对“阀开关时间测试”的比较(见表美国、欧洲、日本、德国对“阀开关时间测试”的比较),及详细问清楚该阀在样本上注明的切换时间的日期、或是新ISO标准还是旧ISO标准 |
|||||||||||||||||||||||||||||||||||||||||||||||||||||||||||||||||||||||||||||||
|
最 高 换 向 频 率 |
阀的最高换向频率是指换向阀在额定压力下在单位时间内保证正常换向的最高次数,也称为最高工作频率(Hz)。影响换向频率的因素,与切换时间的讨论相同 “频度”是每分钟时间内完成的动作次数,不要与“频率”相混淆。频率是指每秒钟内完成的动作次数,是国际单位制中具有专门名称的导出单位Hz(s-1) 最高换向频率与阀的本身结构、阀的切换时间、电磁线圈在连续高频工作时的温升及阀出口连续的负载容积大小有关,负载容积越大,换向频率越低,电磁阀通径越大,换向频率也越低。直动式阀比先导式换向频率高,间隙密封(硬配合阀)比弹性密封换向频率要高,双电控比单电控高,交流比直流要高 |
||||||||||||||||||||||||||||||||||||||||||||||||||||||||||||||||||||||||||||||
|
防 护 等 级 |
电气设备的防护等级:欧美地区气动制造厂商均采用EN 60 529标准对电气设备的防护,带壳体的防护等级通过标准化的测试方法来表示。防护等级用符合国际标准代号IP表示,IP代码用于对这类防护等级的分类。欧美地区气动制造厂商样本中在电磁阀或电磁线圈上通常印有IP65字样,下表列出了防护代码的含义。IP代码由字母IP和一个两位数组成。有关两位数字的定义见下表 第1数字的含义:数字1表示人员的保护。它规定了外壳的范围,以免人与危险部件接触。此外,外壳防止了人或人携带的物体进入。另外,该数字还表示对固体异物进入设备的防护程度 第2数字的含义:数字2表示设备的保护。针对由于水进入外壳而对设备造成的有害影响,它对外壳的防护等级做了评定 IP65,6表示第一代码编号:对电磁阀而言,表示固体异物、灰尘进入阀体的保护等级值; 5表示第二代码编号:对电磁阀而言,表示水滴、溅水或浸入的保护等级值 |
||||||||||||||||||||||||||||||||||||||||||||||||||||||||||||||||||||||||||||||
|
|
|
||||||||||||||||||||||||||||||||||||||||||||||||||||||||||||||||||||||||||||||
|
食品加工行业通常使用防护等级为IP65(防尘和防水管喷水)或IP67(防尘和能短时间浸水)的元件。对某些场合究竟采用IP65还是IP67,取决于特定的应用场合,因为对每种防护等级有其完全不同的测试标准。一味强调IP67比IP65等级高并不一定适用。因此,符合IP67的元件并不能自动满足IP65的标准 |
|||||||||||||||||||||||||||||||||||||||||||||||||||||||||||||||||||||||||||||||
|
泄 漏 量 |
阀的泄漏量有两类,即工作通口泄漏量和总体泄漏量。工作通口泄漏量是指阀在规定的试验压力下相互断开的两通口之间内泄漏量,它可衡量阀内各通道的密封状态。总体泄漏量是指阀所有各处泄漏量的总和,除其工作通口的泄漏外,还包括其他各处的泄漏量,如端盖、控制腔等。泄漏量是阀的气密性指标之一,是衡量阀的质量性能好坏的标志。它将直接关系到气动系统的可靠性和气源的能耗损失。泄漏与阀的密封型式、结构型式、加工装配质量、阀的通径规格、工作压力等因素有关 |
||||||||||||||||||||||||||||||||||||||||||||||||||||||||||||||||||||||||||||||
|
耐 久 性 |
耐久性是指阀在规定的试验条件下,在不更换零部件的条件下,完成规定工作次数,且各项性能仍能满足规定指标要求的一项综合性能,它是衡量阀性能水平的一项综合性参数 阀的耐久性除了与各零件的材料、密封材料、加工装配有关外,还有两个十分重要因素有关,即阀本身设计结构及压缩空气的净化处理质量(如需合适的润滑状况) 某些国外气动厂商对阀测试条件是:过滤精度为5μm干燥润滑的压缩空气,工作压力为6bar,介质温度为23℃,频率为2Hz条件下进行,目前,各气动制造厂商的耐久性指标平均为2千万次以上,一些上乘的电磁阀可达5千万次,1亿次以上 |
||||||||||||||||||||||||||||||||||||||||||||||||||||||||||||||||||||||||||||||
|
电 气 结 构 及 特 性 |
电磁阀实际上是一种机电一体化产品,电磁部分实际上是一种低压电器,所以电气性能也是电磁阀的一项基本要求。它除了包括保护等级、功耗、线圈温升、绝缘电阻、绝缘耐压、通电持续率(表示阀是连续工作,还是断续工作)等方面的要求外,还有其他功能是否齐全,如:直流电磁铁、交流电磁铁的电压规格,接线座的几种型式,指示灯、发光密封件,电脉冲插板和延时插板及保护电路等 电磁阀工作电源有交、直流两种,额定频率为50Hz。常用的交流电压有24V、36V(目前应用较少)、48V、110V(50/60Hz)、230V(50/60Hz);直流电压有12V、24V、42V、48V。一般允许电压波动为额定电压的-15%~+10% |
||||||||||||||||||||||||||||||||||||||||||||||||||||||||||||||||||||||||||||||
|
电磁铁 |
电磁铁是电磁阀的主要部件,主要由线圈、静铁芯和动铁芯构成。它利用电磁原理将电能转变成机械能,使动铁芯做直线运动。根据其使用的电源不同,分为交流电磁铁和直流电磁铁两种。电磁阀中常用电磁铁有两种结构型式:T型和I型 |
||||||||||||||||||||||||||||||||||||||||||||||||||||||||||||||||||||||||||||||
|
T型 |
T型电磁铁:交流电磁铁在交变电流时,铁芯中存在磁滞涡流损失,通常交流电磁铁芯用高导磁的矽钢片层叠制成,T型电磁铁可动部件重量大,动作冲击力大,行程大,吸力也大。主要用于行程较大的直动式电磁阀 |
||||||||||||||||||||||||||||||||||||||||||||||||||||||||||||||||||||||||||||||
|
I型 |
I型电磁铁:直流电磁铁不存在磁滞涡流损失,故铁芯可用整块磁性材料制成,铁芯的吸合面通常制成平面状或圆锥形。I型电磁铁结构紧凑,体积小,行程短,可动部件轻,冲击力小,气隙全处在螺管线圈中,产生吸力较大,但直流电磁铁需防止剩磁过大,影响正常工作。直流电磁铁和小型交流电磁铁,常适用于作小型直动式和先导式电磁阀 对于50Hz的交流电,每秒有100次吸力为零,动铁芯因失去吸力而返回原位,此时,瞬时又将受交变电流影响,收力又开始增加,动铁芯又重新被吸合,形成动铁芯振动也就是蜂鸣声 预防措施:被分磁环包围部分磁极中的磁通与未被包围部分磁极中的磁通有时差,相应产生的吸力也有时差,故使某任一瞬时动铁芯的总吸力不等于零,可消除振动。分磁环的电阻越小越好(如黄铜、紫铜材质),但过于小时,也会使流过分磁环的电流过大,损耗也大 |
||||||||||||||||||||||||||||||||||||||||||||||||||||||||||||||||||||||||||||||
|
接线座(图d) |
电磁阀的接线在阀的使用中是简单而重要的一步,接线应方便、可靠,不得有接触不良、绝缘不良和绝缘破损等,同时还应考虑电磁阀更换方便 随着电磁阀品种规格增多,适用范围扩大,接线方式也多样化,如图d所示为常用的接线方式:直接出线式、接线座式、DIN插座式、接插座式 |
||||||||||||||||||||||||||||||||||||||||||||||||||||||||||||||||||||||||||||||
|
直接 出线 式 |
|
直接从电磁阀的电磁铁的塑封中引出导线,并用导线的颜色来表示AC、DC及使用电压等参数。使用时,直接与外部端子接线 |
|||||||||||||||||||||||||||||||||||||||||||||||||||||||||||||||||||||||||||||
|
接线 座式 |
|
接线座与电磁铁或电磁阀制成一体,适用接线端子将接线固定的接线方式 |
|||||||||||||||||||||||||||||||||||||||||||||||||||||||||||||||||||||||||||||
|
DIN 插座式 |
|
这是按照德国DIN标准设计的插座式接线端子的接线方式。对于直流电接线规定,1号端子接正极,2号端子接负极 |
|||||||||||||||||||||||||||||||||||||||||||||||||||||||||||||||||||||||||||||
|
接插座式 |
|
在电磁铁或电磁阀上装设的接插座接线方式,带有连接导线的插口附件 |
|||||||||||||||||||||||||||||||||||||||||||||||||||||||||||||||||||||||||||||
|
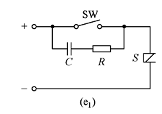
保护电路(图e) |
电磁阀的电磁线圈是感性负载。在控制回路接通或断开的瞬态过渡过程中,电感两端储存或释放的电磁能产生的峰值电压(电流)将击穿绝缘层,也可能产生电火花而烧坏触点(通常都涂保护材料)。若在回路中加上吸收电路,可使电磁能以缓慢的稳定速度释放,从而避免上述不利影响。如图e所示为保护电路 |
||||||||||||||||||||||||||||||||||||||||||||||||||||||||||||||||||||||||||||||
|
RC 电路 |
|
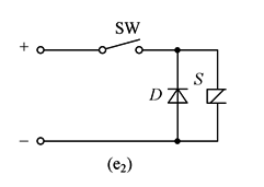
图e1为最简单的RC吸收保护电路,就是在触点上串联一个电容,以吸收电磁能。为了防止回路开关接通时电流全部通过电容释放,可以串联一个限流电阻。RC吸收电路有各种型式,仅适用R、C元件时,电容应该选用金属纸介质型或金属塑料介质型,介电常数大,峰值电压1000V;电阻应选用线绕电阻或金属膜电阻,功率0.5W |
|||||||||||||||||||||||||||||||||||||||||||||||||||||||||||||||||||||||||||||
|
二极管 电路 |
|
图e2为用于直流电的吸收保护电路。在直流电路中,如果确定了直流电极性,只需在线圈上并联一个二极管即可。必须注意,这将延长电磁线圈的断电时间 |
|||||||||||||||||||||||||||||||||||||||||||||||||||||||||||||||||||||||||||||
|
稳压 二极 管电路 |
|
图e3为采用稳压二极管的吸收保护电路,两个稳压二极管反向串联后并联在线圈上,这是一种适应性更强的吸收电路。它可适用于DC和AC电路,且避免了电磁线圈的断电时间延迟,但是当电压大于150V时,必须将几个稳压二极管串联使用 |
|||||||||||||||||||||||||||||||||||||||||||||||||||||||||||||||||||||||||||||
|
变阻器 电路 |
|
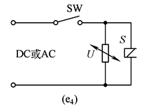
图e4为采用变阻器的吸收保护电路,变阻器是一种衰减电流电压的理想元件。只有当超过额定电压时,漏电流才增加。变阻器适用于DC和AC电路 |
|||||||||||||||||||||||||||||||||||||||||||||||||||||||||||||||||||||||||||||
|
指示灯和发光密封件 |
电磁铁上装了指示灯就能从外部判别电磁阀是否通电,一般交流电用氖灯,直流电用发光二极管(LED)来显示。现有一种发光密封件,通电后能发黄光,安装在插头和电磁阀之间,起到密封及通电指示作用,且带有保护电路,如图f所示 12~24V DC 230V DC/AC±10%
|
||||||||||||||||||||||||||||||||||||||||||||||||||||||||||||||||||||||||||||||
|
电脉冲插板和延时插板 |
|
电脉冲插板是一个电子计时器,将脉宽大于1s的输入信号转化为脉宽为1s的输出信号。如果输入信号的脉宽小于1s,则输出信号脉宽与输入相等。插板上的黄色LED显示脉1s的输出信号。插板安装在插头和电磁线圈之间 延时插板是一个电子定时器,其延时时间在0~10s范围内调节。输入信号后,经选定的延时时间,产生输出信号。延时插板安装在插头和电磁线圈之间,见图g |
|||||||||||||||||||||||||||||||||||||||||||||||||||||||||||||||||||||||||||||
|
通电持续率 |
通电持续率表示阀的电磁线圈能否连续工作的一个参数指标。根据DIN VDE 0580标准,100%通电持续率测试只用于带电磁线圈的电气部件。该测试显示了电磁线圈进行100%通电持续率工作的功能 当电磁线圈在最大许用电压下工作(连续工作S1,符合DIN VDE 0580标准),电磁线圈在温度柜(空气无对流状况)中能承受最大的许用环境温度,在密封工作管路中承受最大的许用工作压力时,电磁线圈至少可工作72h。然后需要进行下列测试:①释放电流的测量,断电状态下的释放特性;②当直接通电时,用最小的工作电压和最不适宜的压力比吸动衔铁的启动性能;③泄漏测量,该过程需重复进行直至该测试已持续通电至少达1000h,然后检查密封气嘴有否损坏。终止测试的条件是:启动特性及泄漏下降或超出到括号内的极限数值之下(如释放电流>1.0mA,启动电压>UN+10%,泄漏>10L/h) |
||||||||||||||||||||||||||||||||||||||||||||||||||||||||||||||||||||||||||||||
|
温升与绝缘种类 |
电磁阀线圈通电后就会发热,达到热稳定平衡时的平均温度与环境温度之差称为温升。线圈的最高允许温升是由线圈的绝缘种类决定的(见下表)。电磁阀的环境温度由线圈的绝缘种类决定的最高允许温度和电磁线圈的温升值来决定,一般电磁阀线圈为B中绝缘,最高允许温度则为130℃ |
||||||||||||||||||||||||||||||||||||||||||||||||||||||||||||||||||||||||||||||
|
绝缘种类 |
A |
E |
B |
F |
H |
||||||||||||||||||||||||||||||||||||||||||||||||||||||||||||||||||||||||||
|
允许温升/℃ |
65 |
80 |
90 |
115 |
140 |
||||||||||||||||||||||||||||||||||||||||||||||||||||||||||||||||||||||||||
|
最高允许温升/℃ |
105 |
120 |
130 |
155 |
180 |
||||||||||||||||||||||||||||||||||||||||||||||||||||||||||||||||||||||||||
|
吸力特性 |
|
图h为行程与吸力特性曲线。交流电磁铁与直流电磁铁特性是相似的,当电压增加或行程减少时,两者的吸力都呈增加趋势。但是,当动铁芯行程较大时,由于两者的电流特性不同,直流电磁铁的吸力将大幅度下降,而交流电磁铁吸力下降较缓慢 |
|||||||||||||||||||||||||||||||||||||||||||||||||||||||||||||||||||||||||||||
|
启动电流与保持电流 |
当交流电磁铁工作电压确定后,励磁电流大小虽与线圈的电阻值有关,但还受到行程的影响,行程大,磁阻大,励磁电流也大,最大行程时的励磁电流(也称启动电动)由图i1可见,交流电磁铁启动时,即动铁芯的行程最大时,启动电流最大。随着动铁芯移动行程逐渐缩短,电流也逐渐变小。当电磁铁已被吸住的电流称为保持电流。一般电磁阀的启动电流为保持电流的2~4倍,对于大型交流电磁阀,它的启动电流可达保持电流10倍以上,甚至更大。当铁芯被卡住,启动电流持续流过时,线圈发热剧升,甚至于烧毁。交流电磁铁不宜频繁通断,其寿命不如直流电磁铁长。对于直流电磁铁而言,其线圈电流仅取决于线圈电阻,与行程无关。如图i2所示,直流电磁铁的电流与行程无关,在吸合过程中始终保持一定值。故动铁芯被卡住时也不会烧毁线圈,直流电磁铁可频繁通、断,工作安全可靠。但不能错接电压,错接高压电时,流过电流过大,线圈即会烧毁 |
||||||||||||||||||||||||||||||||||||||||||||||||||||||||||||||||||||||||||||||
|
功 率 |
在设计电磁阀控制回路时,需计算回路中电流等参数。计算时应注意,交流电磁铁的功率用视在功率P=U·I计算,单位为V·A,已知交流电磁阀的视在功率为16V·A,使用电压为220V,则流过交流电磁阀的电流为73mA。直流电磁阀用消耗功率P计算,单位为W。例如,若已知直流电磁阀的消耗功率为2W,使用电压为24V,则流过直流电磁铁的电流为83mA |
||||||||||||||||||||||||||||||||||||||||||||||||||||||||||||||||||||||||||||||
|
防爆特性 |
特性 |
防爆电磁阀不仅仅指电磁线圈,阀体本身也有防爆的等级等技术要求。详见第十二章气动相关技术标准中7小节关于防爆标准的标准及说明,电磁线圈按用于电子设备的防爆产品型号的说明(见表ATEX94/9/EC指令和ATEX1999/92/EC指令),阀体按用于机械设备的防爆产品型号的说明(见表ATEX94/9/EC指令和ATEX1999/92/EC指令)。各种防爆型式(充油型o、正压型p、充砂型q、隔爆型d、增安型e、本质安全型i(ia、ib)、浇封型m、气密型h、无火花型n见表关于“爆炸性气体环境用电气设备第1部分:通用要求”简介中图)。电磁阀防爆的型式、等级等技术要求,是由电磁阀工作的环境决定的 |
|||||||||||||||||||||||||||||||||||||||||||||||||||||||||||||||||||||||||||||
|
举例 |
如:FESTO公司MSF...EX防爆电磁线圈符合ATEX规定,也符合VDE0580规范,绝缘等级F,通电持续率100%,防护等级IP65,可用于直流工作电压DC24V及交流工作电压AC24V、110V、220V、230V、240V。其ATEX防爆标志:Ⅱ2 GD EEx mⅡT5(该防爆线圈为浇封型,可用于2爆炸区、2类设备组、易爆气体尘埃场合、保护等级Ⅱ、线圈表面温度为100℃),或Ⅱ3 GD EEx nAⅡT130℃X(该防爆线圈为无火花本安型,可用于2爆炸区、3类设备组、易爆气体尘埃场合、保护等级Ⅱ、线圈表面温度为130℃)。在使用交流电压时的功率系数为0.7 |
||||||||||||||||||||||||||||||||||||||||||||||||||||||||||||||||||||||||||||||

















