|
比例节流阀系统的设计示例 |
|||||
|
(1)系统设计计算步骤 1)估算液压缸面积及系统压力; 2)按系统工作过程的要求,核算液压缸及系统压力; 3)选择比例阀的规格参数; 4)核算系统的固有频率 其中前3步依次进行,第4步相对独立 (2)液压缸面积及系统压力的估算 1)这一步是初步的,其原则是:系统压力扣除系统管道损失之后的可利用压力,按经验各1/3分别用于克服负载,用于产生速度,用于产生加速度(质量的加减速或转动惯量的加减速) 2)如果其中用于加速的部分达不到1/3,则活塞由恒速转到减速的过程中,比例阀阀口的面积会有过大的变化,造成阀芯转换时间增加,而用于负载的那部分则难以准确地达到1/3 3)按上述原则,先假定泵的压力,计算液压缸面积:第一,根据加速段的需要;第二,根据恒速段的需要。选两者中较大的为液压缸面积。也可倒过来,先确定液压缸的尺寸,反算泵所需的压力 (3)按系统工作过程的要求,核算液压缸的面积及泵压力,如图1所示 已知:m=700kg;F=7000N;FST=Fsin30°=7000×0.5=3500N
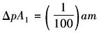
图1 比例系统设计示例 1)首先计算根据加减速需要的缸面积根据F=ma得到(ΔpA1用于产生加速度的液压力)
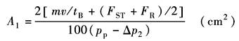
式中Δp——用于产生加速度的压力,MPa,
由上两式可得,加速段所需的活塞面积为
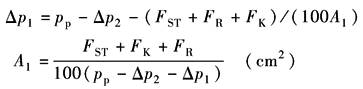
2)其次计算恒速及最大稳态力FK下所需的活塞面积阀口用于产生速度(恒速段)的压差(此时加速度为零)
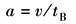
选上面两个面积中较大的一个来确定液压缸的尺寸 式中 Δp——用于产生加速度的压力,MPa; a——活塞的加速度,m/s2;
υ——活塞运动速度,m/s; tB——加速段时间,s; A1——活塞面积,cm2; FST——静总负载,N; FR——摩擦力,N; FK——液压缸稳态作用力,N; m——运动部分质量,kg; pS——用于负载的压力,MPa; Δp2——液压缸活塞杆端比例阀阀口压差,MPa; pp——油源压力,MPa; Δp1——比例阀阀口用于产生速度的压差,MPa (4)比例阀的选用 |
|||||
|
比例方向节流阀选用 |
|||||
|
pp/MPa 油源压力 |
pv (恒速)/MPa |
pv (减速)/MPa |
QN/L·min-1 额定流量 |
变化范围 |
变化量/% |
|
5.5 |
5 |
9 |
150 |
83%~72% |
11,阀转换时间长 |
|
10 |
11 |
15 |
150 |
72%~68%分辨率差 |
4,时间短 |
|
10 |
11 |
15 |
100 |
87%~83%分辨率好 |
4,时间短 |
|
1)pp=5.5MPa时,比例阀的选用选用pv=1MPa时,QN=150L/min,由图2查得:变化范围83%~72%,变化量为11% 2)pp=10MPa,仍选用pv=1MPa时QN=150L/min,由图3查得:变化范围72%~68%,变化量4%,转换时间短,但变化最大仅72%,分辨率不够理想 3)pp=10MPa,改选pv=1MPa时,QN=100L/min,由图4查得:变化范围87%~83%,变化量4%,最大达87%,可以 这里考虑的主要是3个问题:分辨率,阀芯位置转换时间,阀口压差
图2 比例节流阀选用图一
图3 比例节流阀选用图二
图4 比例节流阀选用图三 |
|||||







