|
电液比例压力阀的性能 |
|
电液比例压力阀的先导阀主要有喷嘴挡板式和锥阀式两种,后者结构简单,价格便宜,使用维护方便,抗污染能力强,工作可靠,应用最广泛,故以锥阀式为例讨论电液比例压力阀的稳态特性 如图1所示,锥阀式电液比例先导压力阀在稳态工作时应满足以下方程式
图1 锥阀式比例压力阀先导阀计算简图 (1)阀口流量方程式
式中 q——流过先导压力阀的流量; C——阀的流量系数; d——直径; x——阀芯的位移量; φ——锥阀阀芯的出流角; ρ——油液密度; pc——先导阀阀腔内所控制的液压力 (2)阀芯的力平衡方程式
式中 F——比例电磁铁输出力; Ff——阀芯、衔铁等运动部分的运动摩擦力 (3)比例电磁铁的吸力方程式
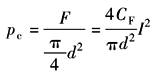
式中 FL——比例电磁铁的锥面力; FB——比例电磁铁的底面力; CF——比例电磁铁的吸力系数; I——控制电流 若忽略摩擦力及通过阀流量等的影响,则由力平衡方程式和吸力方程式可得出阀的控制压力pc与控制电流I间的关系为
上式表明电液比例先导压力阀的稳态特性,即其输出的阀控制压力与输入的控制电流近似地存在抛物线关系特性。忽略摩擦力、液流力的影响,则阀输出控制压力完全由输入的控制电流的大小决定 图2为带电反馈直控式比例压力阀DBETR型的稳态特性曲线,是在油液ν=36mm2/s,t=50℃和出油口无背压条件下测得的
图2带电反馈直接控制式比例压力阀稳态特性 图3为先导控制式比例溢流阀DBE型的稳态特性曲线,是在油液ν=36mm2/s,t=50℃的条件下测得的,它们包括有压力-电流特性、压力-流量特性、最低设定压力-流量特性等
图3 先导控制式比例溢流阀稳态特性 图4为先导控制式比例减压阀DRE型的稳态特性曲线,也是在油液ν=36mm2/s和t=50℃的条件下测得的
图4 先导控制式比例减压阀稳态特性 由以上各种比例压力阀的稳态特性可见,由摩擦和磁滞等因素引起的特性曲线滞环是难免的,在设计中应尽量减少摩擦和磁滞,例如,采用悬挂式力马达控制喷嘴挡板阀作为先导控制级,采用带电反馈的先导控制阀,以及采用较大的弹簧刚度等。在使用中加颤振电流,可以明显改善其滞环。比例压力控制阀的压力-流量特性,除压力较低的区段外,具有良好的线性。由于比例电磁铁衔铁组件的摩擦力较大,推动阀芯需要的油压力较大,故电液比例压力阀的最低设定压力要比定值控制压力阀高 电液比例压力阀的动态响应特性基本上取决于液压阀部分,而把比例电磁铁线圈及比例放大器均看做比例环节,即可以忽略其电性能的一阶滞后。由于比例电磁铁衔铁及导阀阀芯运动时存在黏滞阻力,所以比定值控制压力阀更易稳定 |






