|
恒压变量泵油源 |
||
|
项目 |
内容 |
说明 |
|
动 态 方 程 或 环 节 传 递 函 数 |
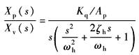
(1)变量泵的流量方程 Qp(s)=-KpnpXp(s);负号表示Xp增大时Qp减小 (2)阀控变量缸
(3)压力管路的连续性方程
(4)滑阀的力平衡方程
|
Qp——变量泵的输出流量,m3/s Kp、np——泵的排量梯度(m2/rad)、转速(rad/s) Xp、Ap——变量缸的位移(m)、面积(m2) Kq——滑阀的流量增益,m2/s ωh——变量机构的液压谐振频率,rad/s ζh——变量机构的液压阻尼系数 F0——变量机构调压弹簧的弹簧力,N 其余同表液压伺服油源的参数选择 |
|
方 块 图 |
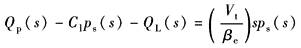
绘出以变量机构的调压力F0为输入,以供油压力ps为输出、以负载流量QL为扰动的方块图,图中:
ωv1——容积滞后频率,rad/s |
|
|
传 递 函 数 |
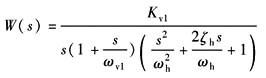
考虑到ωnc?ωh,因而可忽略滑阀动态,于是开环传递函数
式中 Kv1——开环增益,s-1,Kv1=KqKpnpAv/KsApCl |
可见恒压泵油源的动态主要取决于容积滞后和变量机构的动态,因此对恒压泵的变量机构应有较高的要求 |
|
稳 定 性 |
与定量泵—溢流阀油源相比:
ωh=ωnv,ζh及ζnv均较小,因此为确保稳定性,应取Kv1<Kv |
|
|
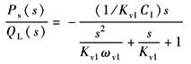
动 态 及 静 态 柔 度 |
若ωh?ωv1,忽略变量机构动态,则可
如果ωh、ωv1相当,动态柔度表达式将相当复杂,但仍有:
|
以负载流量为扰动输入,以ps为输出分析动态柔度 |





