|
定量泵—溢流阀油源 |
||
|
项目 |
内容 |
说明 |
|
动
态
方
程 |
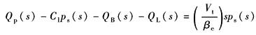
(1)压力管道的连续性方程
(2)溢流阀主阀芯流量方程
(3)溢流阀先导阀的力平衡方程
(4)溢流阀先导阀的流量方程(可忽略Kc项)
(5)溢流阀主阀受控腔连续性方程(忽略泄漏及压缩性)
|
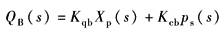
Qp——泵的输出流量,m3/s QB——溢流阀溢流量,m3/s QL——负载(消耗)流量,m3/s Cl——泵的内泄漏系数,m5/(N·s) Vt、ps——高压管路总容积(m3)、压力(N/m2) Xp、Ap——溢流阀主阀位移(m)、面积(m2) Kqb——溢流阀主阀流量增益,m2/s Kcb——溢流阀主阀流量压力系数,m5/(N·s) Xv、Av——先导阀位移(m)、面积(m2) Qv——先导阀流量,m3/s Kq、Kc——先导阀流量增益(m2/s)、流量-压力系数[m5/(N·s)] Mv、Bv、Ks——先导阀质量(kg)、黏性阻尼系数(N·s/m2)、弹簧刚度(N/m) F0——先导阀弹簧力,N |
|
方
块
图 |
|
|
|
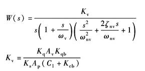
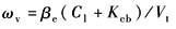
绘出以溢流阀的调压力F0作为输入,以供油压力ps作为输出,以流量Qp、QL作为扰动的方块图 图中 ωnv——先导阀机械谐振频率,rad/s ζnv——先导阀的阻尼系数
ωv——容积滞后频率,rad/s |
||
|
传 递 函 数 |
|
Kv——开环增益,s-1 |
|
稳 定 性 |
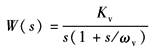
由于先导阀的Mv小、Ks大,因此ωnv高。忽略ωnv环节的动态影响,则
可见系统为Ⅰ阶系统,系统容易稳定 |
只需使参数Kv限定在一定值内,系统便可稳定 Kv值中所有参数均系溢流阀的结构参数,所以实际上油源的稳定性取决于溢流阀的稳定性 |
|
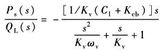
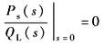
动 态 及 静 态 柔 度 |
负号表示QL增大、ps降低
|
以负载流量为扰动输入,以ps为输出分析动态柔度 (1)当 (2)ω=0或∞时,动态柔度为0 (3)稳态即s=0时,稳态柔度为零,表明稳态下QL对ps无影响,实际上由于溢流阀液动力和弹簧力的影响,稳态时柔度不完全为零,即QL对ps会有一定影响 |






