|
负载扰动下的频率特性及分析 |
||||
|
输出/ 输入 |
负载 情况 |
传递函数 |
频率特性 |
动态特性分析 |
|
|
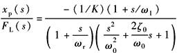
K≠0 |
|
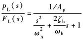
(动态位置柔度特性) |
与分析xv作用下的频率特性一样,原则上可对FL作用下的频率特性进行类似的分析 在FL作用下,更关心的是: (1)动态位置刚度特性 (2)动态速降特性 |
|
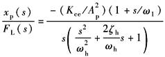
K=0 |
|
|||
|
|
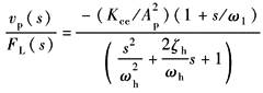
K=0 |
|
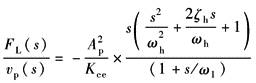
(动态速度柔度特性) |
|
|
|
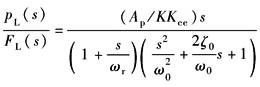
K≠0 |
|
|
|
|
K=0 |
|
|||
|
|
K=0 |
|
|
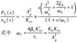
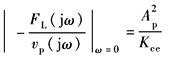
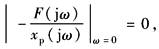
动态位置刚度特性的物理解释如下 (1)ω<ω1的低频段:渐进线斜率为+20dB/dec,当ω=1时, 速度刚度,说明低频时阀控缸相当于一个 阻尼系数为 作用相当于泄漏流量通道所造成的结果 (2)ω1<ω<ωh的中频段:渐进线斜率为0,由于外负载力的变化频率高,没有足够的时间让泄漏流量通过,油液被封在缸的两腔,因而动态刚度等于Kh (3)ω>ωh的高频段,渐进线斜率为+40dB/dec,由于FL的变化频率极高,快速“退让”运动产生很大的惯性力,抵消了FL的作用,因而动态刚度呈二次幂增加 (4)ω=0的刚度为稳态位置刚度,其值为 用下泄漏,使活塞不断后退,因而稳态位置刚度为零 |
|
|
K=0 |
|
|
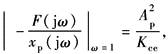
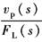
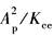
(1)ω=0时的稳态速度刚度:
(2)反之,稳态速度柔度:
外负载力要引起速降 由于Kce很小,稳态速度柔度很小,这正是液压伺服系统的特点,是液压伺服系统得到广泛应用 |












