|
Z变换定义 |
||
|
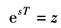
Z变换是研究离散系统的一种有力工具,利用它可将线性差分方程变换成线性代数方程 设离散信号x*(t)为
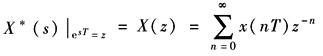
则其拉氏变换式为
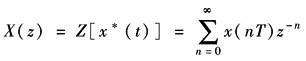
令 则 式中,X(z)称为x*(t)的Z变换,并以Z[x*(t)]表示,即
X(z)有时也习惯性地称作x(t)的Z变换式,即
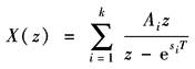
而其实际含义仍是指x(t)经采样后,对x*(t)的Z变换 Z变换式的求取方法有两种,即根据连续信号x(t)求X(z)或根据x(t)的象函数X(s)求取相应的Z变换式,后者称为部分分式法。部分分式的原理是:设X(s)具有以下形式
式中 k——X(s)中的极点数; Ai——对应于每一个极点的常数; si——X(s)的极点 则X(s)的原函数x(t)为
利用基本函数的Z变换表,可得与x(t)相对应Z变换式
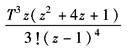
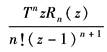
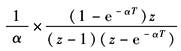
基本函数的Z变换如下表所示 |
||
|
Z变换表 |
||
|
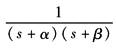
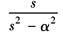
X(s) |
x(t)或x(k) |
X(z) |
|
1 |
δ(t) |
1 |
|
e-kTs |
δ(t-kT) |
z-k |
|
|
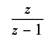
1(t) |
|
|
|
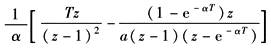
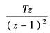
t |
|
|
|
|
|
|
|
|
|
|
|
|
|
|
|
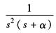
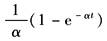
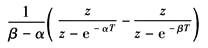
e-αt |
|
|
|
|
|
|
|
|
|
|
|
|
|
|
|
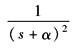
te-αt |
|
|
|
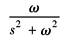
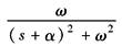
sinωt |
|
|
|
cosωt |
|
|
|
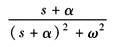
e-αtsinωt |
|
|
|
e-αtcosωt |
|
|
|
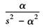
sinhαt |
|
|
|
coshαt |
|
|
|
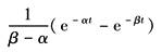
αk |
|
|
|
αkcoskπ |
|
|
|
|
|
|
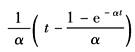
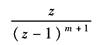
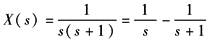
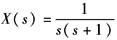
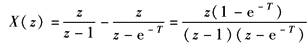
例 已知 因为 查上表,可得
因此 |
||
















