|
稳定性准则 |
||
|
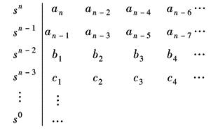
稳定性准则是分析控制系统是否稳定的依据,又称为稳定判据。工程中常用的判别系统稳定性的准则有劳斯(Routh)稳定判据和奈魁斯特(Nyquist)稳定判据 (1)劳斯稳定判据 劳斯稳定判据是一种代数准则,它利用系统的特征方程的系数来判据系统是否稳定。设系统的特征方程为
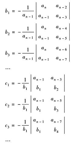
劳斯判据将方程的系数an,an-1,…,a1,a0列入劳斯表并计算表内元素b1…,c1…,…的值如下
其中
表中各行元素均计算到全部为零为止 劳斯判据:若表中第一列元素(an,an-1,b1,c1,…)不为零且均为正,则系统稳定;否则,系统不稳定。第一列元素符号改变的次数表示系统的特征方程根中不稳定根的数目 四阶以下系统劳斯稳定判据可以简化如下表所示 |
||
|
低阶系统劳斯稳定判据 |
||
|
阶次 |
系统闭环传递函数 |
稳定的充要条件 |
|
1 |
|
|
|
2 |
|
|
|
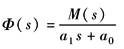
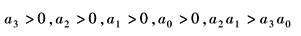
3 |
|
|
|
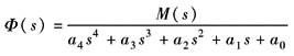
4 |
|
|
|
劳斯表中元素计算时,可能会出现第一列为零元素或全零行的情况,此时劳斯表的计算需参阅专门文献 (2)奈魁斯特稳定判据 奈魁斯特稳定判据是一种频率准则,它利用系统的开环频率特性来判别闭环系统是否稳定。奈魁斯特稳定判据如下: ①若系统的开环传递函数没有正实部的极点(P=0),当频率ω由-∞变化到∞时,开环频率特性Gk(jω)不包围复平面上的(-1,j0)点则系统稳定,否则系统不稳定; ②若系统的开环传递函数有P个极点具有正实部,当频率ω由-∞变化到∞时开环频率特性Gk(jω)逆时针方向包围(-1,j0)点P圈时系统稳定,否则系统不稳定 奈魁斯特稳定判据如图1所示,其中辅助曲线是从ω=0-开始顺时针方向到ω=0+所划的一条半径为无限大的圆周线。圆周线转角等于开环传递函数中所含的积分环节个数ν乘以π,即θ=νπ
图1 奈魁斯特稳定判据 ③含有延迟环节的控制系统的奈魁斯特稳定性判据为:若除延迟环节外,开环传递函数中不包含正实部的极点,闭环状态下系统稳定的充要条件是其开环频率特性Gk(jω)不包围(-1,j0)点,则系统是稳定的,如图2a所示;否则系统不稳定,如图2b所示
图2 具有延迟环节的系统稳定性判据[Gk(jω)=G(jω)e-jτω] |
||







