|
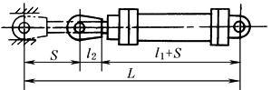
液压缸的最大允许行程 |
|||||||||||||
|
液压缸在最大允许行程范围内使用,可确保其稳定性 C25WE型 |
|||||||||||||
|
表1 |
L=Lk(Lk见表液压缸主要技术性能参数的计算中表2)
|
||||||||||||
|
液压缸 内径D /mm |
活塞杆 直径d /mm |
工作压力p/MPa |
液压缸 内径D /mm |
活塞杆 直径d /mm |
工作压力p/MPa |
||||||||
|
5 |
10 |
15 |
20 |
25 |
5 |
10 |
15 |
20 |
25 |
||||
|
最大许用行程S/mm |
最大许用行程S/mm |
||||||||||||
|
40 |
22 |
360 |
205 |
140 |
100 |
70 |
180 |
110 |
2475 |
1630 |
1255 |
1030 |
880 |
|
28 |
680 |
435 |
325 |
260 |
215 |
125 |
3320 |
2225 |
1740 |
1450 |
1255 |
||
|
50 |
28 |
500 |
305 |
215 |
165 |
130 |
200 |
125 |
2920 |
1935 |
1500 |
1240 |
1065 |
|
36 |
940 |
615 |
470 |
385 |
325 |
140 |
3775 |
2540 |
1995 |
1670 |
1445 |
||
|
63 |
36 |
690 |
430 |
315 |
245 |
200 |
220 |
140 |
3325 |
2200 |
1705 |
1410 |
1205 |
|
45 |
1185 |
780 |
600 |
495 |
425 |
160 |
4500 |
3030 |
2380 |
1995 |
1730 |
||
|
80 |
45 |
870 |
550 |
410 |
325 |
270 |
250 |
160 |
3880 |
2590 |
2015 |
1675 |
1445 |
|
56 |
1470 |
975 |
755 |
625 |
535 |
180 |
5050 |
3415 |
2690 |
2260 |
1965 |
||
|
100 |
56 |
1095 |
700 |
525 |
420 |
350 |
280 |
180 |
4380 |
2925 |
2275 |
1890 |
1630 |
|
70 |
1855 |
1235 |
960 |
800 |
685 |
200 |
5550 |
3750 |
2950 |
2475 |
2150 |
||
|
125 |
70 |
1390 |
895 |
675 |
545 |
455 |
320 |
200 |
4700 |
3130 |
2430 |
2015 |
1730 |
|
90 |
2490 |
1670 |
1310 |
1095 |
950 |
220 |
5830 |
3925 |
3080 |
2580 |
2235 |
||
|
140 |
90 |
2160 |
1430 |
1105 |
915 |
785 |
360 |
220 |
5035 |
3340 |
2590 |
2140 |
1835 |
|
100 |
2745 |
1845 |
1445 |
1205 |
1045 |
250 |
6720 |
4530 |
3560 |
2985 |
2590 |
||
|
160 |
100 |
2320 |
1530 |
1185 |
975 |
835 |
400 |
250 |
5900 |
3530 |
3055 |
2535 |
2180 |
|
110 |
2885 |
1930 |
1510 |
1260 |
1085 |
280 |
7605 |
5135 |
4045 |
3390 |
2945 |
||
|
C25TF型 |
|||||||||||||
|
表2 |
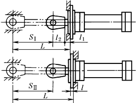
L= SⅠ=L-l1-l2 SⅡ=SⅠ-l |
||||||||||||
|
液压缸 内径D /mm |
活塞杆 直径d /mm |
工作压力p/MPa |
液压缸 内径D /mm |
活塞杆 直径d /mm |
工作压力p/MPa |
||||||||
|
5 |
10 |
15 |
20 |
25 |
5 |
10 |
15 |
20 |
25 |
||||
|
最大许用行程SⅠ/mm |
最大许用行程SⅠ/mm |
||||||||||||
|
40 |
22 |
1400 |
965 |
775 |
665 |
585 |
180 |
110 |
7910 |
5515 |
4455 |
3820 |
3390 |
|
28 |
2310 |
1610 |
1305 |
1120 |
995 |
125 |
10295 |
7200 |
5830 |
5010 |
4455 |
||
|
50 |
28 |
1815 |
1255 |
1010 |
860 |
760 |
200 |
125 |
9220 |
6440 |
5205 |
4470 |
3965 |
|
36 |
3060 |
2140 |
1730 |
1485 |
1320 |
140 |
11640 |
8150 |
6600 |
5680 |
5050 |
||
|
63 |
36 |
2390 |
1660 |
1335 |
1140 |
1010 |
220 |
140 |
10515 |
7340 |
5935 |
5095 |
4525 |
|
45 |
3800 |
2655 |
2145 |
1845 |
1635 |
160 |
13835 |
9690 |
7850 |
6755 |
6010 |
||
|
80 |
45 |
2960 |
2050 |
1650 |
1420 |
1250 |
250 |
160 |
12125 |
8475 |
6860 |
5895 |
5240 |
|
56 |
4650 |
3250 |
2630 |
2260 |
2010 |
180 |
15435 |
10815 |
8770 |
7550 |
6720 |
||
|
100 |
56 |
3655 |
2540 |
2045 |
1750 |
1545 |
280 |
180 |
13705 |
9580 |
7755 |
6665 |
5920 |
|
70 |
5805 |
4055 |
3280 |
2820 |
2505 |
200 |
17010 |
11915 |
9660 |
8315 |
7400 |
||
|
125 |
70 |
4585 |
3185 |
2565 |
2200 |
1945 |
320 |
200 |
14775 |
10320 |
8345 |
7170 |
6365 |
|
90 |
7700 |
5390 |
4365 |
3755 |
3340 |
220 |
17970 |
12580 |
10190 |
8765 |
7795 |
||
|
140 |
90 |
6825 |
4765 |
3850 |
3305 |
2935 |
360 |
220 |
15870 |
11080 |
8955 |
7690 |
6825 |
|
100 |
8475 |
5930 |
4805 |
4130 |
3675 |
250 |
20635 |
14450 |
11705 |
10070 |
8955 |
||
|
160 |
100 |
7370 |
5145 |
4155 |
3570 |
3165 |
400 |
250 |
18455 |
12885 |
10420 |
8945 |
7940 |
|
110 |
8970 |
6275 |
5080 |
4365 |
3880 |
280 |
23290 |
16305 |
13210 |
11365 |
10105 |
||
|
C25WF型 |
|||||||||||||
|
表3 |
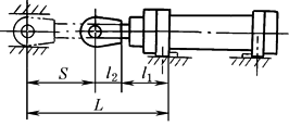
L=
|
||||||||||||
|
液压缸 内径D /mm |
活塞杆 直径d /mm |
工作压力p/MPa |
液压缸 内径D /mm |
活塞杆 直径d /mm |
工作压力p/MPa |
||||||||
|
5 |
10 |
15 |
20 |
25 |
5 |
10 |
15 |
20 |
25 |
||||
|
最大许用行程SⅠ/mm |
最大许用行程SⅠ/mm |
||||||||||||
|
40 |
22 |
580 |
365 |
270 |
215 |
175 |
180 |
110 |
3690 |
2490 |
1960 |
1640 |
1425 |
|
28 |
1040 |
690 |
535 |
440 |
380 |
125 |
4880 |
3330 |
2645 |
2240 |
1960 |
||
|
50 |
28 |
790 |
510 |
385 |
310 |
260 |
200 |
125 |
4330 |
2940 |
2320 |
1955 |
1705 |
|
36 |
1410 |
950 |
745 |
620 |
540 |
140 |
5540 |
3795 |
3020 |
2560 |
2245 |
||
|
63 |
36 |
1060 |
695 |
530 |
435 |
370 |
220 |
140 |
4930 |
3340 |
2635 |
2220 |
1930 |
|
45 |
1765 |
1190 |
940 |
785 |
685 |
160 |
6590 |
4515 |
3595 |
3045 |
2675 |
||
|
80 |
45 |
1335 |
880 |
680 |
565 |
480 |
250 |
160 |
5725 |
3900 |
3090 |
2610 |
2280 |
|
56 |
2180 |
1480 |
1170 |
985 |
860 |
180 |
7380 |
5070 |
4050 |
3440 |
3020 |
||
|
100 |
56 |
1660 |
1100 |
850 |
705 |
605 |
280 |
180 |
6465 |
4405 |
3490 |
2945 |
2575 |
|
70 |
2730 |
1860 |
1470 |
1240 |
1085 |
200 |
8115 |
5570 |
4445 |
3770 |
3310 |
||
|
125 |
70 |
2095 |
1395 |
1085 |
900 |
775 |
320 |
200 |
6955 |
4725 |
3740 |
3150 |
2750 |
|
90 |
3650 |
2495 |
1985 |
1680 |
1470 |
220 |
8550 |
5855 |
4660 |
3950 |
3465 |
||
|
140 |
90 |
3200 |
2165 |
1710 |
1440 |
1250 |
360 |
220 |
7460 |
5065 |
4000 |
3370 |
2940 |
|
100 |
4025 |
2750 |
2185 |
1850 |
1620 |
250 |
9840 |
6750 |
5380 |
4560 |
4005 |
||
|
160 |
100 |
3445 |
2330 |
1835 |
1540 |
1340 |
400 |
250 |
8715 |
5930 |
4700 |
3965 |
3460 |
|
110 |
4240 |
2895 |
2295 |
1940 |
1700 |
280 |
11135 |
7640 |
6095 |
5170 |
4545 |
||
|
C25ZB型 |
|||||||||||||
|
表4 |
L=Lk(Lk见表液压缸主要技术性能参数的计算中表2)
|
||||||||||||
|
液压缸 内径D /mm |
活塞杆 直径d /mm |
工作压力p/MPa |
液压缸 内径D /mm |
活塞杆 直径d /mm |
工作压力p/MPa |
||||||||
|
5 |
10 |
15 |
20 |
25 |
5 |
10 |
15 |
20 |
25 |
||||
|
最大许用行程(摆轴在中间时)S/mm |
最大许用行程(摆轴在中间时)S/mm |
||||||||||||
|
40 |
22 |
565 |
365 |
275 |
220 |
185 |
180 |
110 |
3500 |
2370 |
1870 |
1570 |
1365 |
|
28 |
995 |
665 |
520 |
435 |
375 |
125 |
4625 |
3165 |
2520 |
2135 |
1870 |
||
|
50 |
28 |
760 |
495 |
380 |
310 |
260 |
200 |
125 |
4105 |
2790 |
2210 |
1865 |
1625 |
|
36 |
1345 |
910 |
715 |
600 |
525 |
140 |
4245 |
3600 |
2870 |
2435 |
2135 |
||
|
63 |
36 |
1015 |
670 |
515 |
425 |
365 |
220 |
140 |
4675 |
3180 |
2515 |
2120 |
1850 |
|
45 |
1680 |
1140 |
900 |
760 |
660 |
160 |
6240 |
4285 |
3420 |
2900 |
2550 |
||
|
80 |
45 |
1275 |
850 |
660 |
550 |
470 |
250 |
160 |
5430 |
3705 |
2945 |
2490 |
2180 |
|
56 |
2070 |
1410 |
1120 |
945 |
830 |
180 |
6990 |
4810 |
3845 |
3270 |
2880 |
||
|
100 |
56 |
1585 |
1055 |
820 |
685 |
590 |
280 |
180 |
6135 |
4190 |
3325 |
2810 |
2460 |
|
70 |
2595 |
1770 |
1405 |
1190 |
1040 |
200 |
7690 |
5290 |
4225 |
3590 |
3160 |
||
|
125 |
70 |
1990 |
1335 |
1040 |
865 |
950 |
320 |
200 |
6595 |
4490 |
3560 |
3005 |
2630 |
|
90 |
3460 |
2370 |
1890 |
1600 |
1405 |
220 |
8100 |
5560 |
4430 |
3760 |
3300 |
||
|
140 |
90 |
3035 |
2060 |
1630 |
1375 |
1200 |
360 |
220 |
7070 |
4810 |
3810 |
3210 |
2805 |
|
100 |
3815 |
2610 |
2080 |
1765 |
1545 |
250 |
9315 |
6400 |
5105 |
4335 |
3810 |
||
|
160 |
100 |
3270 |
2220 |
1750 |
1475 |
1285 |
400 |
250 |
8250 |
5625 |
4460 |
3770 |
3295 |
|
110 |
4020 |
2750 |
2190 |
1850 |
1620 |
280 |
10530 |
7235 |
5780 |
4910 |
4315 |
||
|
C25JG型 |
|||||||||||||
|
表5 |
L= S=L-l1-l2 |
||||||||||||
|
液压缸 内径D /mm |
活塞杆 直径d /mm |
工作压力p/MPa |
液压缸 内径D /mm |
活塞杆 直径d /mm |
工作压力p/MPa |
||||||||
|
5 |
10 |
15 |
20 |
25 |
5 |
10 |
15 |
20 |
25 |
||||
|
最大许用行程S/mm |
最大许用行程S/mm |
||||||||||||
|
40 |
22 28 |
1295 2205 |
860 1505 |
670 1200 |
560 1015 |
480 890 |
180 |
110 125 |
7670 10055 |
5275 6960 |
4215 5590 |
3580 4770 |
3150 4215 |
|
50 |
28 36 |
1705 2950 |
1145 2030 |
900 1620 |
750 1375 |
650 1210 |
200 |
125 140 |
8970 11390 |
6190 7900 |
4955 6350 |
4220 5430 |
3715 4800 |
|
63 |
36 45 |
2265 3675 |
1535 2530 |
1210 2020 |
1015 1720 |
885 1510 |
220 |
140 160 |
10220 13540 |
7045 9395 |
5640 7555 |
4800 6460 |
4230 5715 |
|
80 |
45 56 |
2820 4510 |
1915 3110 |
1515 2490 |
1280 2125 |
1115 1870 |
250 |
160 180 |
11825 15135 |
8175 10515 |
6560 8470 |
5595 7250 |
4940 6420 |
|
100 |
56 70 |
3485 5635 |
2370 3885 |
1875 3110 |
1580 2650 |
1375 2335 |
280 |
180 200 |
13345 16650 |
9220 11555 |
7395 9300 |
6305 7955 |
5560 7040 |
|
125 |
70 90 |
4400 7515 |
3000 5205 |
2380 4180 |
2015 3570 |
1760 3155 |
320 |
200 220 |
14380 17575 |
9925 12185 |
7950 9795 |
6775 8370 |
5970 7400 |
|
140 |
90 100 |
6630 8280 |
4570 5735 |
3655 4610 |
3110 3935 |
2740 3480 |
360 |
220 250 |
15505 20270 |
10715 14085 |
8590 11340 |
7325 9710 |
6460 8590 |
|
160 |
100 110 |
7150 8750 |
4925 6055 |
3935 4860 |
3350 4145 |
2945 3660 |
400 |
250 280 |
18065 22900 |
12495 15915 |
10030 12820 |
8555 10975 |
7550 9715 |






