缸筒计算 | |||||||||
表1 | |||||||||
项目 | 计 算 公 式 | 说 明 | |||||||
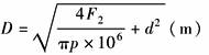
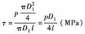
缸 筒 内 径 | 当液压缸的理论作用力F(包括推力F1和拉力F2)及供油压力p为已知时,则无活塞杆侧的缸筒内径为
有活塞杆侧缸筒内径为
液压缸的理论作用力按下式确定
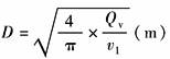
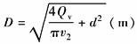
当Qv及υ为已知时,则缸筒内径(未考虑容积效率ηv),按无活塞杆侧为
按有活塞杆侧为
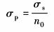
最后将以上各式所求得的D值进行比较,选择其中最大者,圆整到标准值(见表液压缸的主要参数) | d —— 活塞杆直径,m,(表活塞杆的计算) p —— 供油压力,MPa F1、F2 —— 液压缸的理论推力和拉力,N F0 —— 活塞杆上的实际作用力,N ψ —— 负载率,一般取ψ=0.5~0.7 ηt —— 液压缸的总效率(见表液压缸主要技术性能参数的计算) Qv —— 液压缸的体积供油量(假定两侧的供油量相同,即Qv1=Qv2),m3/s υ1,υ2 —— 活塞杆伸出及缩回时的速度,m/s δ0 —— 缸筒材料强度要求的最小值,m c1 —— 缸筒外径公差余量,m c2 —— 腐蚀余量,m D —— 缸筒内径,m pmax —— 缸筒内最高工作压力,MPa σp —— 缸筒材料的许用应力,MPa
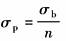
σb —— 缸筒材料的抗拉强度,MPa n —— 安全系数,通常取n=5,最好是按下表进行选取 液压缸的安全系数 | |||||||
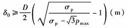
缸 筒 壁 厚 | 缸筒壁厚为: δ=δ0+c1+c2 关于δ0的值,可按下列情况分别进行计算 当δ/D≤0.08时,可用薄壁缸筒的实用公式:
当δ/D=0.08~0.3时
当δ/D≥0.3时
或
| ||||||||
材料名称 | 静载荷 | 交变载荷 | 冲击载荷 | ||||||
不对称 | 对称 | ||||||||
钢、锻铁 | 3 | 5 | 8 | 12 | |||||
σs —— 缸筒材料屈服强度,MPa prL —— 缸筒发生完全塑性变形的压力,MPa
pr —— 缸筒耐压试验压力,MPa E —— 缸筒材料弹性模数,MPa v —— 缸筒材料泊松比,钢材v=0.3 实际上,当δ/D>0.2时,材料使用不够经济,应改用高屈服强度的材料 国内外工厂实际采用的缸筒壁厚外径D1,见下表2,供设计时参考 | |||||||||
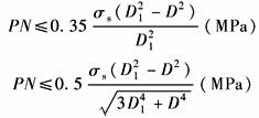
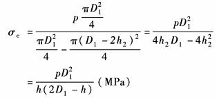
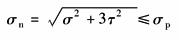
缸 筒 壁 厚 验 算 | 对最终采用的缸筒壁厚应作四方面的验算 额定工作压力PN应低于一定极限值,以保证工作安全: 或 同时额定工作压力也应与完全塑性变形压力有一定的比例范围,以避免塑性变形的发生:
此外,尚须验算缸筒径向变形DD应处在允许范围内
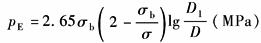
变形量△D不应超过密封圈允许范围 最后,还应验算缸筒的爆裂压力pE
也可用费帕尔(FAUPEL)公式
计算的pE值应远超过耐压试验压力pr,pE » pr | ||||||||
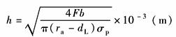
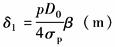
缸 筒 底 部 厚 度 | 缸筒底部为平面时,其厚度δ1可以按照四周嵌住的圆盘强度公式进行近似的计算:
|
| p —— 筒内最大工作压力,MPa δp —— 筒底材料许用应力,MPa,其选用方法与上述缸筒厚度计算相同 D2 —— 计算厚度外直径,m β —— 系数,当H/D0=0.2~0.3时,取β=1.6~2.5 D0 —— 缸底外径,m | ||||||
缸筒底部为拱形时(如图中所示R≥0.8D,r≥0.125D),其厚度用下式计算: | |||||||||
|
| ||||||||
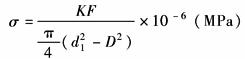
缸 筒 头 部 法 兰 厚 度 |
如不考虑螺孔(dL),则为:
| F —— 法兰在缸筒最大内压下所承受的轴向压力,N
缸筒头部法兰厚度 | |||||||
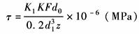
缸 筒 螺 纹 连 接 部 分 | 缸筒与端部用螺纹连接时,缸筒螺纹处的强度计算如下: 螺纹处的拉应力
螺纹处的剪应力
合成应力
许用应力
| F —— 缸筒端部承受的最大推力,N D —— 缸筒内径,m d0 —— 螺纹外径,m d1 —— 螺纹底径,m K —— 拧紧螺纹的系数,不变载荷取K=1.25~1.5,变载荷取K=2.5~4 K1 —— 螺纹连接的摩擦因数,K1=0.07~0.2,平均取K1=0.12 σs —— 缸筒材料的屈服点,MPa n0 —— 安全系数,取n0=1.2~2.5
螺纹连接的缸筒 | |||||||
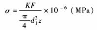
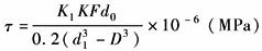
缸 筒 法 兰 连 接 螺 栓 | 缸筒与端部用法兰连接或拉杆连接时,如图a所示。螺栓或拉杆的强度计算如下: 螺纹处的拉应力
螺纹处的切应力
合成应力
如采用长拉杆连接,当行程超过缸筒内径20倍(S>20D)时,为防止拉杆偏移,需加装中接圈或中支承块,焊接或用螺钉固定在缸筒外壁中部上,如图b,图c所示 | z —— 螺栓或拉杆的数量
| |||||||
缸 筒 卡 环 连 接 | 缸筒与端部用卡环连接时,卡环的强度计算如下: 卡环的切应力(A—A断面处)
卡环侧面的挤压应力(ab侧面上)
卡环尺寸一般取
验算缸筒在A—A断面上的拉应力
|
卡环连接的缸筒 p —— 缸内最大工作压力,MPa D1 —— 缸筒外径,m d1 —— 焊缝底径,m F —— 缸内最大推力,N η —— 焊接效率,取η=0.7 σb —— 焊条材料的抗拉强度,MPa n —— 安全系数,参照缸筒壁的安全系数选取
焊接连接的缸筒 | |||||||
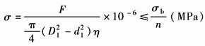
缸 筒 与 端 部 焊 接 | 缸筒与端部用焊接连接时,其焊缝应力计算如下:
| ||||||||
缸径推荐尺寸 mm | |||
缸径D | |||
25 | 90 | 180 | 360 |
32 | 100 | 200 | 400 |
40 | 110 | 220 | 450 |
50 | 125 | 250 | 500 |
63 | 140 | 280 | |
80 | 160 | 320 | |
缸筒推荐壁厚 mm | |||
缸径 | 缸筒壁厚 | 缸径 | 缸筒壁厚 |
25~70 | 4、5.5、6、7.5、8、10 | >250~320 | 15、17.5、20、22.5、25、28.5 |
>70~120 | 5、6.5、7、8、10、11、13.5、14 | >320~400 | 15、18.5、22.5、25.5、28.5、30、35、38.5 |
>120~180 | 7.5、9、10.5、12.5、13.5、15、17、19 | >400~500 | 20、25、28.5、30、35、40、45 |
>180~250 | 10、12.5、15、17.5、20、22.5、25 | ||























