|
由温度改变所引起的位移 |
|
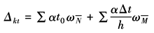
静定结构由于温度改变将产生变形,从而产生位移。若温度均匀改变,则结构的各杆件只产生轴向变形。若温度非均匀改变,则杆件不仅发生轴向变形,而且还将产生弯曲变形 计算位移的公式如下:
式中 α——材料的线胀系数;
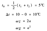
t0——轴线处温度的升高值; Δt——杆件上下侧温度改变之差; h——杆件截面高度 应用式(1)时,应注意正负号。若虚拟状态的变形与由于温度改变所引起的变形方向一致,则取正号,反之则取负号 对于刚架,在计算温度改变所引起的位移时,一般不能略去轴向变形的影响 如 则式(1)可表示为:
例 试求图a所示刚架C点的水平位移。已知刚架各杆外侧温度无变化,内侧温度上升10℃,刚架各杆的截面相同且与形心轴对称,线胀系数为α 解 在C点沿水平方向加单位力P=1,作出
代入式(2)
所得结果为正值,表示C点位移与单位力方向相同
|



