|
由载荷作用产生的位移 |
|
式中 MP——由载荷P作用所产生的弯矩;
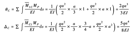
ΔkP——载荷P作用下在k处所产生的位移 积分号表示沿一杆的全长求积分。总和号表示对刚架各杆的积分求代数和。积分计算通常使用图乘法。见表图乘公式 例 计算图a所示刚架C点的转角和垂直位移 解 外载荷作用下的弯矩图如图b所示。欲求C点截面的转角及垂直位移,可在C点分别加上单位力偶及垂直单位集中力,其弯矩图见图c、d所示 应用公式,并用图乘法,可求得:
θC和ΔC均为正号,其方向与单位力偶和单位力的方向相同 |
|
由载荷作用产生的位移 |
|
式中 MP——由载荷P作用所产生的弯矩;
ΔkP——载荷P作用下在k处所产生的位移 积分号表示沿一杆的全长求积分。总和号表示对刚架各杆的积分求代数和。积分计算通常使用图乘法。见表图乘公式 例 计算图a所示刚架C点的转角和垂直位移 解 外载荷作用下的弯矩图如图b所示。欲求C点截面的转角及垂直位移,可在C点分别加上单位力偶及垂直单位集中力,其弯矩图见图c、d所示 应用公式,并用图乘法,可求得:
θC和ΔC均为正号,其方向与单位力偶和单位力的方向相同 |