|
板的局部稳定性计算 |
|||||||||||||||||||||||||||||||
|
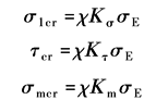
对于薄板的局部稳定性和配肋板的要求,已在梁板的加强肋板中说明,不必进行计算。如果用很薄的板子或是主要受力板且受到很大的压力时,则必须对该板的局部稳定性作详细的验算,计算方法如下 (1)压应力σ1、切应力τ和局部压应力σm分别作用时的临界应力:
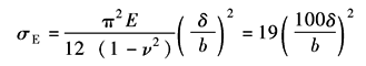
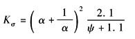
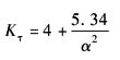
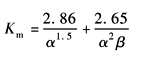
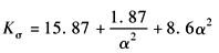
式中 σ1cr——临界压应力,N/mm2; τcr——临界切压力,N/mm2; σmcr——临界局部挤压应力,N/mm2; χ——板边弹性嵌固系数;一般可在1~1.26范围内选取,当一对边受强翼板或强纵向加劲肋嵌固时取大值; Kσ,Kτ,Km——四边简支板的屈曲系数,取决于板的边长比α=a/b和板边载荷情况,对于用加劲肋分隔的局部区格按表1求得,对于包括加劲肋在内的带肋板按表2求得; σE——欧拉应力,N/mm2,按式(1)计算,
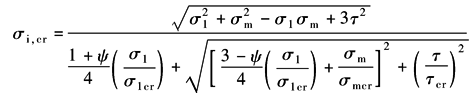
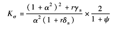
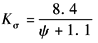
δ ——板厚,mm; b——区格宽或板宽,mm; E——材料的弹性模量,N/mm2; ν ——泊松比 当加劲肋符合本节(4)的规定时,只需要按局部区格计算稳定性,否则应同时计算局部区格和带肋板两种情况的稳定性 (2)压应力σ1、切应力τ和局部压应力σm同时作用时的临界复合应力按式(2)计算:
式中,ψ的含义见表1
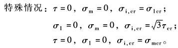
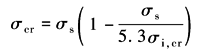
当局部压力作用于板的受拉边缘时,σ1与σm不相关,可分别取σm=0或σ1=0进行计算。当临界复合应力(包括上述特殊情况)超过0.75σs时,应按式(3)求得折减临界复合应力σcr:
式中 σs——材料的屈服点,N/mm2 |
|||||||||||||||||||||||||||||||
|
表1 局部区格板的屈曲系数 |
|||||||||||||||||||||||||||||||
|
序号 |
载 荷 情 况 |
α=a/b |
K |
||||||||||||||||||||||||||||
|
1 |
均匀或不均匀压缩0≤ψ<1 |
|
α≥1 |
|
|||||||||||||||||||||||||||
|
α<1 |
|
||||||||||||||||||||||||||||||
|
2 |
纯弯曲或以拉为主的弯曲ψ≤-1 |
|
|
|
|||||||||||||||||||||||||||
|
|
|
||||||||||||||||||||||||||||||
|
3 |
以压为主的弯曲-1<ψ<0 |
|
|
Kσ=(1+ψ)Kσ'-ψKσ"+10ψ(1+ψ) Kσ'——ψ=0时的屈曲系数(序号1) Kσ"——ψ=-1时的屈曲系数(序号2) |
|||||||||||||||||||||||||||
|
4 |
纯剪切 |
|
α≥1 |
|
|||||||||||||||||||||||||||
|
α<1 |
|
||||||||||||||||||||||||||||||
|
5 |
单边局部压缩 |
|
α≤1 |
|
|||||||||||||||||||||||||||
|
1<α≤3 |
注:当α>3时,按a=3b计算α、β、Km值 |
||||||||||||||||||||||||||||||
|
6 |
双边局部压缩 |
|
|
Km=0.8Km' Km'——按序号5计算的Km值 |
|||||||||||||||||||||||||||
|
注:1.σ1为板边最大压应力,ψ=σ2/σ1为板边两端应力比;σ1、σ2各带自己的正负号。 2.对有一条纵向加强肋,受局部压应力作用的腹板,其上区格可参照序号6栏计算屈曲系数,其下区格在确定局部压应力的扩散区宽度后可参照序号5栏计算屈曲系数。对有两条和两条以上纵向加强肋的情况,也可按照上述原则进行计算。 |
|||||||||||||||||||||||||||||||
|
(3)局部稳定性许用应力及局部稳定性验算: 局部稳定性许用应力σcrp按式(4)或式(5)计算:
式中 n——安全系数,取与强度安全系数一致; σp——0.75σs(假想比例极限) |
|||||||||||||||||||||||||||||||
|
表2 带肋板的屈曲系数 |
|||||||||||||||||||||||||||||||
|
序号 |
载 荷 情 况 |
K |
|||||||||||||||||||||||||||||
|
1 |
压 缩 |
|
|
||||||||||||||||||||||||||||
|
2 |
纯 剪 切 |
|
|
||||||||||||||||||||||||||||
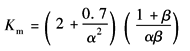
|
3 |
局 部 挤 压 |
|
Km'——按表1中的序号5计算的Km值
|
||||||||||||||||||||||||||||
|
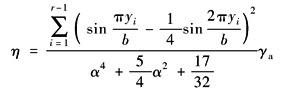
注: Iz—加强肋截面对于板中面轴线的惯性矩,mm4; Az—加强肋截面面积,mm2; r—加强肋的分隔数;
|
|||||||||||||||||||||||||||||||
|
局部稳定性按式(6)验算:
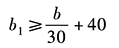
(4)起重机机架对加强肋构造尺寸的要求 在满足上述的板的局部稳定性的前提下,板横向加强肋间距a不得小于0.5b,且不得大于b和2m两值中的大值,b为板的总宽度 板横向加强肋的尺寸按式(7)和式(8)确定:
式中 b1——横向加强肋的外伸宽度,mm; δ1——横向加强肋的厚度,mm; b——板的总宽度,mm 在板同时采用横向加强肋和纵向加强肋时,横向加强肋除尺寸应符合上述规定外,还应满足式(9)的要求:
式中 Iz1——横向加强肋的截面对该板板厚中心线的惯性矩,mm4; δ ——板厚,mm 此时,腹板纵向加强肋应同时满足式(10)、式(11)的要求:
式中 Iz2——板纵向加强肋的截面对板厚中心线的惯性矩,mm4 翼缘板纵向加强肋应满足式(12)的要求:
式中 Iz3——翼缘板纵向加强肋的截面对翼缘板板厚中心线的惯性矩,mm4; m——翼缘板纵向加强肋数 |
|||||||||||||||||||||||||||||||
























