|
弹性支座上的连续梁 |
|
在工程结构中常会遇到支承在弹性支座上的连续梁。在载荷的作用下,各个支座有弹性伸长或缩短,即支点处产生竖直位移。一般考虑支点的伸缩量与支点反力的大小成正比。例如在以连续梁作为纵梁,而此纵梁又支承在具有弹性的横梁上;连续梁浮桥支承在浮动桥墩上;矿山用振动放矿机的机架支承在橡胶弹簧上等。在必须作较精确计算时,就要按弹性支座来计算。设图1a所示的连续梁支承在弹性支座上,其各跨的截面相同,跨度相等,支座的柔度系数C(即弹簧在单位力作用下的伸缩量)相等
图1 写出在支点n之上的截面内冗力Mn作用方向内的相对角位移等于零的正则方程式θn=0。这个相对角位移包括两部分。第一部分是在刚性支承的连续梁中,冗力Mn方向内的相对角位移。它包括以下几项:
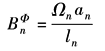
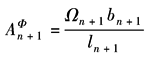
这一部分的相对角位移仅受到支点n左右两跨上的冗力与载荷的影响 其中
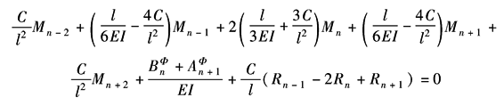
式中,Wn与Wn+1分别为在跨度ln与ln+1内由于载荷所引起的力矩图面积;an与bn+1分别为这两个力矩图面积的重心至各该跨度的左支点与右支点的距离 式(1)表示将Wn视作在跨度ln内的虚梁载荷,跨度ln内的右端虚梁反力;式(2)表示将Wn+1视作为跨度ln+1内的虚梁载荷,跨度ln+1内左端的虚梁反力 在冗力Mn作用方向内所产生的相对角位移数值的第二部分,是由于支点的竖直位移所引起的。冗力与载荷不仅直接产生在Mn方向内的相对角位 移,并且能够使弹簧伸缩而间接地影响到θn的数值。图1b表示在单位力 为1/l,它使该处的弹簧压缩C/l的数值,从而使跨度ln转动,因此在Mn作用方向内产生一相对角位移 们使各该支点处的弹簧缩短CRn-1、CRn、CRn+1,从而在Mn作用方向内产生一相对角位移 位移受到支点n左右四个跨度上的冗力与载荷的影响。其他跨度上的冗力与载荷并不影响θn 以上两部分相对角位移之和,即为θn的总值,按诸力法原理,它应该等于零。故得:
在第n个支点处,弹性支承的下沉量Δn为:
由上两公式可知,在α=0的情况下,式(4)与刚性支承的连续梁三弯矩方程式相符合;而由式(5)得Δn=0 例 图2a为一搁置于橡胶块A、B、C上的振动放矿机槽台的载荷分布图。图2b为槽台构件组合截面的基本结构参数,求弹性支座上连续梁的支点反力A、B、C。反力求出后则整个构体的强度皆可设计
图2 载荷: 集中力 PB=14050N; 均布力 Q1=298.5N/cm,Q2=153.6N/cm,Q3=142.1N/cm,Q4=76.6N/cm,Q5=12.0N/cm 图中尺寸 A2=67cm,LA=60cm,L5=0,L1=73cm,L2=74cm,L3=73cm,H1=1cm,B2=86cm。槽钢截面参数 惯性矩J1=2×11.872=23.744cm4,面积F1=2×8.44=16.88cm2,截面形心至x轴距离y1=1.36cm。槽板截面参数 惯性矩J2=B2H31/12=7.167cm4,面积F2=B2H1=86cm2,截面形心至x轴距离y2=4.5cm
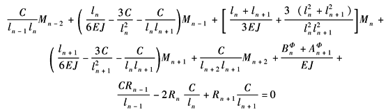
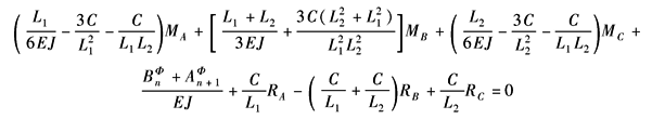
本问题的求解不能直接套用上述的五弯矩方程。因为五弯矩方程提供的是等跨度ln-1=ln=ln+1的计算公式。本题为不等跨的弹性支承连续梁。 因此式(3)需作修改。主要是对在多余力Mn作用方向内所产生的相对角位移数值的第二部分,即式(3)中带 在单位力 由此,对比式(3),可得不等跨弹性支承连续梁的五弯矩方程:
本题为三支点梁,因而Mn-2=0,Mn+2=0,上式可大为简化,并令RA、RB、RC表示Rn-1、Rn、Rn+1,MA、MB、MC表示Mn-1、Mn、Mn+1,L1、L2表示ln、ln+1,则可得
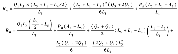
该方程中首先要推求槽台构件按简支梁计算的支座反力(见图2a):
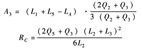
式中,A3为梯形载荷Q2、Q3的重心距离(见图2),
将已知数据代入,可求得: RA=11878N;RB=25247N;RC=8084N 然后,还要求出梁上虚载荷在B点反力,由式(1)及式(2),按L2跨内载荷引起的力矩图面积载荷对B的虚反力 对L2跨: 对L1跨:按图2a,梁上载荷分四部分分别查表:①局部均布载荷Q1;②局部均布载荷Q3;③局部三角形载荷(Q2-Q3);④集中力PB为简化起见,令a=LA-L5,b=L1+L5-LA,a1=A2-L5;b1=L1+L5-A2,α=a/L1,β=b/L1,α1=a1/L1,查表得:
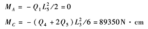
将已知数据代入后,得 从图2可看出,只有三个支点,真实弯矩MA、MC可直接求得:
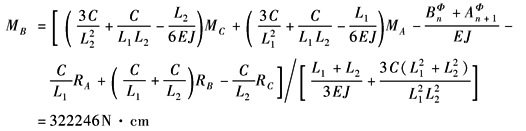
由式(6)即可求得MB:
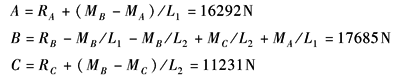
支座反力A、B、C为:
真实反力和弯矩都已求出,槽台强度校核即可进行,橡胶块变形也可算得 对于每侧有5个橡胶块的槽台计算方法同上。但必须得到中间三个支点的弯矩方程,联立求解3个方程即可求得三个弯矩,然后再求出5个支点的反力 说明:这种计算方法对于槽台强度校核来说,并不是主要的,因为其机架梁(槽台)的强度是足够的,即使用简支梁校核也会满足强度要求。关键的问题是,用这种方法才能确定弹性支座(这里为橡胶块)的受力状况 |















