|
滑动轴承支承刚度 |
||||||||||||
|
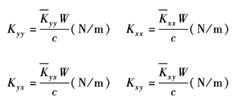
滑动轴承的力学模型如下图。沿各方向的刚度: |
||||||||||||
|
式中 W——轴颈上受的稳定静载荷,N; c——轴承半径间隙,m;
由下表查得 |
滑动轴承力学模型 |
|||||||||||
|
几种常用轴瓦的参数值 |
||||||||||||
|
|
||||||||||||
|
S |
ε |
ψ |
|
|
|
|
|
|
|
|
|
|
|
双油槽圆形轴瓦L/D=0.5 |
||||||||||||
|
6.430 |
0.071 |
81.89 |
0.121 |
0.860 |
5.7 |
1.88 |
6.60 |
-14.41 |
1.55 |
13.31 |
-1.89 |
28.75 |
|
3.937 |
0.114 |
77.32 |
0.192 |
0.846 |
5.9 |
1.89 |
4.20 |
-9.27 |
1.57 |
8.58 |
-1.93 |
18.44 |
|
2.634 |
0.165 |
72.36 |
0.271 |
0.833 |
6.2 |
1.91 |
3.01 |
-6.74 |
1.61 |
6.28 |
-2.00 |
13.36 |
|
2.030 |
0.207 |
68.75 |
0.332 |
0.835 |
6.6 |
1.93 |
2.50 |
-5.67 |
1.65 |
5.33 |
-2.07 |
11.18 |
|
1.656 |
0.244 |
65.85 |
0.383 |
0.835 |
7.0 |
1.95 |
2.20 |
-5.06 |
1.69 |
4.80 |
-2.15 |
9.93 |
|
0.917 |
0.372 |
57.45 |
0.540 |
0.850 |
8.5 |
1.85 |
1.30 |
-4.01 |
2.12 |
3.23 |
-2.06 |
7.70 |
|
0.580 |
0.477 |
51.01 |
0.651 |
0.900 |
10.5 |
1.75 |
0.78 |
-3.70 |
2.67 |
2.40 |
-1.94 |
6.96 |
|
0.376 |
0.570 |
45.43 |
0.737 |
0.977 |
13.4 |
1.68 |
0.43 |
-3.64 |
3.33 |
1.89 |
-1.87 |
6.76 |
|
0.244 |
0.655 |
40.25 |
0.804 |
1.096 |
17.9 |
1.64 |
0.13 |
-3.74 |
4.21 |
1.54 |
-1.82 |
6.87 |
|
0.194 |
0.695 |
37.72 |
0.833 |
1.156 |
21.3 |
1.62 |
-0.01 |
-3.84 |
4.78 |
1.40 |
-1.80 |
7.03 |
|
0.151 |
0.734 |
35.20 |
0.858 |
1.240 |
25.8 |
1.61 |
-0.15 |
-3.98 |
5.48 |
1.27 |
-1.79 |
7.26 |
|
0.133 |
0.753 |
33.93 |
0.870 |
1.289 |
28.7 |
1.60 |
-0.22 |
-4.07 |
5.89 |
1.20 |
-1.79 |
7.41 |
|
0.126 |
0.761 |
33.42 |
0.875 |
1.310 |
30.0 |
1.60 |
-0.25 |
-4.11 |
6.07 |
1.18 |
-1.79 |
7.48 |
|
0.116 |
0.772 |
32.65 |
0.881 |
1.343 |
32.2 |
1.60 |
-0.30 |
-4.17 |
6.36 |
1.15 |
-1.79 |
7.59 |
|
0.086 |
0.809 |
30.04 |
0.902 |
1.473 |
41.4 |
1.59 |
-0.47 |
-4.42 |
7.51 |
1.03 |
-1.79 |
8.03 |
|
0.042 |
0.879 |
24.41 |
0.936 |
1.881 |
80.9 |
1.60 |
-0.92 |
-5.23 |
11.45 |
0.82 |
-1.80 |
9.48 |
|
双油槽圆形轴瓦L/D=1 |
||||||||||||
|
1.470 |
0.103 |
75.99 |
0.135 |
0.850 |
5.9 |
1.50 |
3.01 |
-10.14 |
1.53 |
6.15 |
-1.53 |
20.34 |
|
0.991 |
0.150 |
70.58 |
0.189 |
0.844 |
6.2 |
1.52 |
2.16 |
-7.29 |
1.56 |
4.49 |
-1.58 |
14.66 |
|
0.636 |
0.224 |
63.54 |
0.264 |
0.843 |
6.9 |
1.56 |
1.57 |
-5.33 |
1.62 |
3.41 |
-1.70 |
10.80 |
|
0.358 |
0.352 |
55.41 |
0.369 |
0.853 |
8.7 |
1.48 |
0.97 |
-3.94 |
1.95 |
2.37 |
-1.63 |
8.02 |
|
0.235 |
0.460 |
49.27 |
0.436 |
0.914 |
11.1 |
1.55 |
0.80 |
-3.57 |
2.19 |
2.19 |
-1.89 |
7.36 |
|
0.159 |
0.559 |
44.33 |
0.484 |
1.005 |
14.2 |
1.48 |
0.48 |
-3.36 |
2.73 |
1.74 |
-1.78 |
6.94 |
|
0.108 |
0.650 |
39.72 |
0.516 |
1.136 |
19.2 |
1.44 |
0.23 |
-3.34 |
3.45 |
1.43 |
-1.72 |
6.89 |
|
0.071 |
0.734 |
35.16 |
0.534 |
1.323 |
27.9 |
1.44 |
-0.03 |
-3.50 |
4.49 |
1.20 |
-1.70 |
7.15 |
|
0.056 |
0.773 |
32.82 |
0.540 |
1.449 |
34.9 |
1.45 |
-0.18 |
-3.65 |
5.23 |
1.10 |
-1.71 |
7.42 |
|
0.050 |
0.793 |
31.62 |
0.541 |
1.524 |
39.6 |
1.45 |
-0.26 |
-3.75 |
5.69 |
1.06 |
-1.71 |
7.60 |
|
0.044 |
0.811 |
30.39 |
0.543 |
1.608 |
45.3 |
1.46 |
-0.35 |
-3.88 |
6.22 |
1.01 |
-1.72 |
7.81 |
|
0.024 |
0.883 |
25.02 |
0.543 |
2.104 |
89.6 |
1.53 |
-0.83 |
-4.69 |
9.77 |
0.83 |
-1.78 |
9.17 |
|
椭圆轴瓦,预载δ=0.5,L/D=0.5 |
||||||||||||
|
7.079 |
0.024 |
88.79 |
0.512 |
1.313 |
9.8 |
1.29 |
57.12 |
-40.32 |
91.58 |
45.50 |
63.29 |
159.20 |
|
2.723 |
0.061 |
88.58 |
0.518 |
1.315 |
10.0 |
0.74 |
22.03 |
-15.77 |
35.54 |
17.80 |
23.96 |
61.63 |
|
1.889 |
0.086 |
88.33 |
0.525 |
1.318 |
10.3 |
0.71 |
15.33 |
-11.18 |
24.93 |
12.59 |
16.31 |
43.14 |
|
1.229 |
0.127 |
87.75 |
0.541 |
1.325 |
10.8 |
0.78 |
10.03 |
-7.66 |
16.68 |
8.57 |
10.11 |
28.65 |
|
0.976 |
0.155 |
87.22 |
0.555 |
1.332 |
11.2 |
0.84 |
7.99 |
-6.39 |
13.59 |
7.08 |
7.66 |
23.20 |
|
0.832 |
0.176 |
86.75 |
0.567 |
1.338 |
11.6 |
0.90 |
6.82 |
-5.69 |
11.88 |
6.23 |
6.23 |
20.14 |
|
0.494 |
0.254 |
84.36 |
0.624 |
1.371 |
13.5 |
1.00 |
3.99 |
-4.28 |
8.11 |
4.27 |
2.76 |
13.26 |
|
0.318 |
0.323 |
81.08 |
0.684 |
1.421 |
16.4 |
1.23 |
2.34 |
-3.82 |
6.52 |
3.15 |
0.81 |
10.03 |
|
0.236 |
0.364 |
78.09 |
0.723 |
1.468 |
19.4 |
1.31 |
1.49 |
-3.76 |
6.07 |
2.54 |
-0.11 |
8.80 |
|
0.187 |
0.391 |
75.18 |
0.747 |
1.515 |
22.6 |
1.37 |
0.92 |
-3.82 |
6.03 |
2.13 |
-0.66 |
8.23 |
|
0.153 |
0.410 |
72.26 |
0.762 |
1.562 |
26.1 |
1.41 |
0.52 |
-3.92 |
6.21 |
1.82 |
-1.02 |
7.98 |
|
0.127 |
0.424 |
69.31 |
0.770 |
1.612 |
30.1 |
1.45 |
0.21 |
-4.04 |
6.53 |
1.58 |
-1.26 |
7.91 |
|
0.090 |
0.444 |
63.24 |
0.772 |
1.727 |
40.1 |
1.50 |
-0.23 |
-4.33 |
7.55 |
1.23 |
-1.54 |
8.11 |
|
椭圆轴瓦,预载δ=0.5,L/D=1 |
||||||||||||
|
1.442 |
0.050 |
93.81 |
0.309 |
1.338 |
10.8 |
-1.29 |
22.14 |
-22.65 |
38.58 |
18.60 |
28.14 |
79.05 |
|
0.698 |
0.100 |
93.12 |
0.320 |
1.345 |
11.2 |
-0.24 |
10.79 |
-11.25 |
18.93 |
9.40 |
12.97 |
38.73 |
|
0.442 |
0.150 |
91.97 |
0.338 |
1.357 |
11.9 |
0.26 |
6.87 |
-7.45 |
12.28 |
6.36 |
7.50 |
25.00 |
|
0.308 |
0.200 |
90.37 |
0.361 |
1.376 |
12.8 |
0.58 |
4.79 |
-5.58 |
8.93 |
4.82 |
4.50 |
17.99 |
|
0.282 |
0.213 |
89.87 |
0.368 |
1.382 |
13.1 |
0.66 |
4.38 |
-5.24 |
8.30 |
4.53 |
3.91 |
16.66 |
|
0.271 |
0.220 |
89.61 |
0.372 |
1.385 |
13.2 |
0.69 |
4.20 |
-5.09 |
8.03 |
4.40 |
3.64 |
16.08 |
|
0.261 |
0.226 |
89.37 |
0.375 |
1.388 |
13.4 |
0.72 |
4.03 |
-4.96 |
7.79 |
4.28 |
3.41 |
15.57 |
|
0.240 |
0.239 |
88.80 |
0.383 |
1.396 |
13.7 |
0.77 |
3.70 |
-4.70 |
7.31 |
4.04 |
2.93 |
14.54 |
|
0.224 |
0.250 |
88.28 |
0.389 |
1.403 |
14.1 |
0.82 |
3.43 |
-4.51 |
6.95 |
3.86 |
2.55 |
13.74 |
|
0.211 |
0.260 |
87.79 |
0.395 |
1.409 |
14.4 |
0.86 |
3.21 |
-4.36 |
6.65 |
3.70 |
2.23 |
13.09 |
|
0.161 |
0.304 |
85.29 |
0.423 |
1.445 |
16.2 |
1.01 |
2.32 |
-3.84 |
5.63 |
3.07 |
1.02 |
10.75 |
|
0.120 |
0.350 |
81.80 |
0.452 |
1.500 |
19.1 |
1.14 |
1.52 |
-3.54 |
4.99 |
2.49 |
0.01 |
9.04 |
|
0.097 |
0.381 |
78.65 |
0.470 |
1.554 |
22.1 |
1.21 |
1.01 |
-3.46 |
4.82 |
2.10 |
-0.56 |
8.26 |
|
0.081 |
0.403 |
75.63 |
0.479 |
1.607 |
25.4 |
1.26 |
0.65 |
-3.47 |
4.87 |
1.82 |
-0.92 |
7.87 |
|
0.069 |
0.419 |
72.65 |
0.484 |
1.664 |
29.1 |
1.31 |
0.38 |
-3.52 |
5.06 |
1.60 |
-1.17 |
7.71 |
|
0.060 |
0.432 |
69.69 |
0.485 |
1.724 |
33.4 |
1.34 |
0.16 |
-3.60 |
5.36 |
1.42 |
-1.34 |
7.67 |
|
0.045 |
0.451 |
63.70 |
0.478 |
1.867 |
44.3 |
1.40 |
-0.19 |
-3.83 |
6.25 |
1.16 |
-1.56 |
7.88 |
|
三叶轴瓦,预载δ=0.5,L/D=0.5 |
||||||||||||
|
6.574 |
0.018 |
55.45 |
0.250 |
1.420 |
8.2 |
31.32 |
46.78 |
-45.43 |
34.58 |
93.55 |
1.46 |
97.87 |
|
3.682 |
0.031 |
56.03 |
0.251 |
1.421 |
8.5 |
17.08 |
26.57 |
-25.35 |
20.35 |
51.73 |
1.35 |
56.10 |
|
2.523 |
0.045 |
56.57 |
0.252 |
1.423 |
8.9 |
11.48 |
18.48 |
-17.41 |
14.75 |
35.06 |
1.22 |
39.50 |
|
1.621 |
0.070 |
57.35 |
0.255 |
1.429 |
9.5 |
7.25 |
12.20 |
-11.38 |
10.53 |
22.25 |
1.01 |
26.81 |
|
1.169 |
0.094 |
57.95 |
0.259 |
1.437 |
10.2 |
5.26 |
9.06 |
-8.49 |
8.56 |
15.96 |
0.79 |
20.62 |
|
0.717 |
0.144 |
58.62 |
0.271 |
1.461 |
11.8 |
3.49 |
5.92 |
-5.85 |
6.85 |
9.93 |
0.37 |
14.74 |
|
0.491 |
0.192 |
58.63 |
0.285 |
1.497 |
13.8 |
2.77 |
4.34 |
-4.75 |
6.27 |
7.12 |
-0.02 |
12.07 |
|
0.356 |
0.237 |
58.14 |
0.300 |
1.543 |
16.2 |
2.41 |
3.35 |
-4.26 |
6.15 |
5.51 |
-0.36 |
10.67 |
|
0.267 |
0.278 |
57.30 |
0.315 |
1.599 |
19.1 |
2.19 |
2.63 |
-4.05 |
6.29 |
4.46 |
-0.66 |
9.87 |
|
0.203 |
0.314 |
56.18 |
0.331 |
1.665 |
22.8 |
2.04 |
2.05 |
-4.00 |
6.62 |
3.68 |
-0.91 |
9.43 |
|
0.156 |
0.347 |
54.85 |
0.345 |
1.742 |
27.6 |
1.90 |
1.55 |
-4.05 |
7.11 |
3.06 |
-1.12 |
9.23 |
|
0.141 |
0.360 |
54.26 |
0.352 |
1.776 |
29.8 |
1.85 |
1.36 |
-4.10 |
7.35 |
2.84 |
-1.20 |
9.20 |
|
0.121 |
0.377 |
53.31 |
0.361 |
1.830 |
33.6 |
1.78 |
1.09 |
-4.19 |
7.77 |
2.54 |
-1.30 |
9.20 |
|
0.093 |
0.402 |
51.55 |
0.379 |
1.931 |
41.6 |
1.67 |
0.67 |
-4.39 |
8.63 |
2.10 |
-1.44 |
9.30 |
|
0.055 |
0.441 |
47.10 |
0.419 |
2.182 |
66.1 |
1.49 |
-0.14 |
-4.94 |
11.07 |
1.29 |
-1.61 |
9.91 |
|
三叶轴瓦,预载δ=0.5,L/D=1 |
||||||||||||
|
3.256 |
0.020 |
59.21 |
0.132 |
1.424 |
8.8 |
25.25 |
43.40 |
-43.30 |
28.31 |
88.33 |
1.11 |
94.58 |
|
1.818 |
0.035 |
59.68 |
0.133 |
1.426 |
9.2 |
13.70 |
24.34 |
-24.39 |
16.74 |
48.27 |
0.98 |
54.59 |
|
1.243 |
0.050 |
60.09 |
0.134 |
1.429 |
9.6 |
9.18 |
16.72 |
-16.93 |
12.21 |
32.37 |
0.84 |
38.75 |
|
0.796 |
0.076 |
60.62 |
0.136 |
1.436 |
10.4 |
5.80 |
10.82 |
-11.26 |
8.82 |
20.18 |
0.61 |
26.62 |
|
0.574 |
0.103 |
60.95 |
0.139 |
1.447 |
11.2 |
4.24 |
7.90 |
-8.55 |
7.24 |
14.27 |
0.37 |
20.73 |
|
0.353 |
0.155 |
61.00 |
0.147 |
1.478 |
13.0 |
2.89 |
5.02 |
-6.07 |
5.91 |
8.70 |
-0.06 |
15.15 |
|
0.245 |
0.203 |
60.44 |
0.156 |
1.521 |
15.2 |
2.36 |
3.60 |
-5.01 |
5.48 |
6.16 |
-0.43 |
12.59 |
|
0.181 |
0.246 |
59.46 |
0.165 |
1.574 |
17.8 |
2.09 |
2.74 |
-4.49 |
5.41 |
4.73 |
-0.73 |
11.20 |
|
0.138 |
0.285 |
58.22 |
0.173 |
1.637 |
21.0 |
1.92 |
2.12 |
-4.22 |
5.54 |
3.81 |
-0.98 |
10.39 |
|
0.108 |
0.320 |
56.80 |
0.181 |
1.710 |
24.9 |
1.80 |
1.65 |
-4.10 |
5.83 |
3.16 |
-1.18 |
9.91 |
|
0.085 |
0.351 |
55.23 |
0.189 |
1.794 |
29.9 |
1.71 |
1.26 |
-4.08 |
6.25 |
2.67 |
-1.35 |
9.64 |
|
0.068 |
0.379 |
53.54 |
0.197 |
1.891 |
36.2 |
1.62 |
0.92 |
-4.13 |
6.82 |
2.29 |
-1.48 |
9.54 |
|
0.062 |
0.389 |
52.82 |
0.201 |
1.934 |
39.2 |
1.59 |
0.79 |
-4.17 |
7.09 |
2.16 |
-1.52 |
9.54 |
|
0.054 |
0.403 |
51.68 |
0.208 |
2.014 |
44.4 |
1.54 |
0.57 |
-4.25 |
7.56 |
1.92 |
-1.57 |
9.57 |
|
0.034 |
0.441 |
47.19 |
0.232 |
2.290 |
69.8 |
1.42 |
-0.11 |
-4.65 |
9.70 |
1.23 |
-1.67 |
10.03 |
|
偏位圆柱轴瓦,预载δ=0.5,L/D=0.5 |
||||||||||||
|
8.519 |
0.025 |
-4.87 |
1.664 |
0.971 |
7.7 |
64.74 |
-5.48 |
-82.04 |
47.06 |
59.71 |
-45.00 |
97.56 |
|
4.240 |
0.050 |
-4.82 |
1.664 |
0.972 |
8.0 |
32.32 |
-2.64 |
-41.06 |
23.60 |
29.94 |
-22.62 |
49.04 |
|
2.805 |
0.075 |
-4.72 |
1.664 |
0.975 |
8.4 |
21.49 |
-1.65 |
-27.42 |
15.81 |
20.06 |
-15.22 |
32.97 |
|
2.081 |
0.100 |
-4.59 |
1.664 |
0.978 |
8.8 |
16.05 |
-1.12 |
-20.61 |
11.93 |
15.15 |
-11.56 |
25.01 |
|
1.339 |
0.150 |
-4.14 |
1.660 |
0.988 |
9.7 |
10.56 |
-0.54 |
-13.79 |
8.08 |
10.25 |
-7.98 |
17.15 |
|
0.953 |
0.200 |
-3.47 |
1.649 |
1.002 |
10.8 |
7.78 |
-0.20 |
-10.39 |
6.18 |
7.83 |
-6.31 |
13.34 |
|
0.717 |
0.250 |
-2.76 |
1.641 |
1.023 |
12.1 |
6.15 |
0.05 |
-8.45 |
5.14 |
6.51 |
-5.43 |
11.29 |
|
0.555 |
0.300 |
-2.02 |
1.637 |
1.036 |
13.7 |
5.00 |
0.09 |
-7.20 |
4.63 |
5.38 |
-4.76 |
10.00 |
|
0.493 |
0.325 |
-1.78 |
1.637 |
1.052 |
14.2 |
4.53 |
-0.01 |
-6.72 |
4.56 |
4.74 |
-4.38 |
9.49 |
|
0.353 |
0.400 |
-1.70 |
1.645 |
1.108 |
16.5 |
3.53 |
-0.22 |
-5.78 |
4.63 |
3.40 |
-3.56 |
8.51 |
|
0.284 |
0.450 |
-2.00 |
1.656 |
1.154 |
18.4 |
3.08 |
-0.33 |
-5.40 |
4.85 |
2.79 |
-3.18 |
8.17 |
|
0.228 |
0.500 |
-2.51 |
1.671 |
1.210 |
21.0 |
2.74 |
-0.42 |
-5.15 |
5.18 |
2.34 |
-2.88 |
7.99 |
|
0.182 |
0.551 |
-3.19 |
1.690 |
1.276 |
24.4 |
2.48 |
-0.51 |
-5.01 |
5.65 |
1.98 |
-2.65 |
7.95 |
|
0.162 |
0.576 |
-3.58 |
1.700 |
1.314 |
26.5 |
2.37 |
-0.55 |
-4.97 |
5.93 |
1.82 |
-2.55 |
7.97 |
|
0.143 |
0.601 |
-4.02 |
1.711 |
1.357 |
28.9 |
2.27 |
-0.60 |
-4.95 |
6.26 |
1.69 |
-2.46 |
8.02 |
|
0.126 |
0.627 |
-4.49 |
1.723 |
1.404 |
31.9 |
2.19 |
-0.65 |
-4.95 |
6.64 |
1.56 |
-2.38 |
8.10 |
|
偏位圆柱轴瓦,预载δ=0.5,L/D=1 |
||||||||||||
|
3.780 |
0.025 |
-8.21 |
1.271 |
1.030 |
7.7 |
56.69 |
-8.14 |
-83.73 |
52.13 |
47.10 |
-42.08 |
113.96 |
|
1.883 |
0.051 |
-8.16 |
1.271 |
1.031 |
8.0 |
28.31 |
-3.99 |
-41.89 |
26.11 |
23.61 |
-21.13 |
57.20 |
|
1.247 |
0.076 |
-8.08 |
1.271 |
1.034 |
8.3 |
18.83 |
-2.57 |
-27.95 |
17.45 |
15.81 |
-14.19 |
38.38 |
|
0.927 |
0.101 |
-7.96 |
1.271 |
1.037 |
8.7 |
14.08 |
-1.83 |
-20.99 |
13.13 |
11.93 |
-10.75 |
29.04 |
|
0.596 |
0.151 |
-7.46 |
1.266 |
1.047 |
9.5 |
9.22 |
-1.05 |
-13.89 |
8.74 |
8.00 |
-7.33 |
19.61 |
|
0.418 |
0.201 |
-6.58 |
1.244 |
1.061 |
10.6 |
6.68 |
-0.62 |
-10.17 |
6.44 |
5.96 |
-5.64 |
14.73 |
|
0.316 |
0.251 |
-5.85 |
1.224 |
1.081 |
11.8 |
5.26 |
-0.33 |
-8.13 |
5.22 |
4.90 |
-4.78 |
12.18 |
|
0.248 |
0.301 |
-5.10 |
1.206 |
1.105 |
13.3 |
4.35 |
-0.11 |
-6.87 |
4.49 |
4.28 |
-4.30 |
10.71 |
|
0.198 |
0.351 |
-4.29 |
1.191 |
1.133 |
15.3 |
3.70 |
0.04 |
-6.02 |
4.08 |
3.83 |
-3.99 |
9.80 |
|
0.160 |
0.401 |
-3.59 |
1.179 |
1.168 |
17.4 |
3.17 |
-0.01 |
-5.40 |
4.00 |
3.22 |
-3.57 |
9.07 |
|
0.130 |
0.451 |
-3.27 |
1.171 |
1.223 |
19.6 |
2.76 |
-0.12 |
-4.96 |
4.13 |
2.65 |
-3.15 |
8.55 |
|
0.107 |
0.501 |
-3.28 |
1.166 |
1.289 |
22.4 |
2.46 |
-0.22 |
-4.68 |
4.37 |
2.22 |
-2.84 |
8.23 |
|
0.087 |
0.551 |
-3.54 |
1.165 |
1.369 |
26.1 |
2.23 |
-0.31 |
-4.50 |
4.74 |
1.89 |
-2.60 |
8.08 |
|
0.078 |
0.576 |
-3.76 |
1.166 |
1.415 |
28.5 |
2.14 |
-0.36 |
-4.45 |
4.98 |
1.75 |
-2.50 |
8.06 |
|
0.070 |
0.601 |
-4.03 |
1.167 |
1.466 |
31.2 |
2.06 |
-0.41 |
-4.42 |
5.25 |
1.63 |
-2.42 |
8.07 |
|
S值的确定方法,一般是先预估轴瓦中油的温度,并确定润滑油的运动黏度η,再算出Sommerfeld数,即S值:
式中 η——润滑油运动黏度,N·s/m2; D——轴颈直径,m; R——轴颈半径,m; N——轴颈转速,r/s; L——轴颈长,m 查表用到的量值: L/D——油颈的长径比; δ——量纲一预载,δ=d/c; d——轴瓦各段曲面圆心至轴瓦中心距离,不同形式轴瓦的预载详见上表表头图 根据轴瓦形式、L/D、δ和预估油温条件下的S值,可由上表查出该轴瓦的量纲一值
式中
cυ——单位体积润滑油的比热容,J/(m3·℃); ω——轴颈的转动角速度,rad/s; P——每秒消耗的摩擦功,N·m/s 油膜中的最高温度
所以,可用Tmax作为确定润滑油黏度的温度。如果Tmax与最初估计的温度值不同,就需重新估计温度再按上述过程计算,直到两温度值基本一致为止,最后确定了正确的S值,按该S值从上表查得量纲一刚度系数 |
||||||||||||







