|
滚动轴承支承刚度 |
||||||
|
表1 |
||||||
|
项目 |
计算公式 |
公式使用说明 |
||||
|
单个滚动轴承径向刚度 |
|
F——径向负荷,N; δ1——轴承的径向弹性位移,μm δ2——轴承外圈与箱体的接触变形,μm δ3——轴承内圈与轴颈的接触变形,μm β——弹性位移系数,根据相对间隙g/δ0从图1查出 δ0——轴承中游隙为零时的径向弹性位移,μm,根据表2的公式进行计算 g——轴承的径向游隙,有游隙时取正号,预紧时取负号,μm |
||||
|
滚动轴承径向弹性位移 |
已经预紧时 |
|
||||
|
存在游隙时 |
|
|||||
|
轴承配合表面接触变形(外圈或内圈) |
有间隙的配合 |
|
Δ——直径上的配合间隙或过盈,μm H1——系数,由图2a根据n查出, H2——系数,由图2b根据Δ/d查出,当轴承内圈与轴颈为锥体配合时,H2可取0.05,间隙为零时,H2可取0.25 b——轴承套圈宽度,cm d——配合表面直径,cm,计算δ3时为轴承内径,计算δ2时为轴承外径 |
|||
|
有过盈的配合 |
|
|||||
|
图1 弹性位移系数 图2 接触变形系数曲线 |
||||||
|
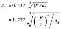
表2 滚动轴承游隙为零时径向弹性位移δ0计算公式 |
||||||
|
轴承类型 |
径向弹性位移δ0/μm |
轴承类型 |
径向弹性位移δ0/μm |
|||
|
深沟球轴承 |
|
角接触球轴承 |
|
|||
|
调心球轴承 |
|
圆柱滚子轴承 |
|
|||
|
双列圆柱滚子轴承 |
|
内圈无挡边双列圆柱滚子轴承 |
|
|||
|
圆锥滚子轴承 |
|
滚动体上的负荷 |
|
|||
|
注:F—轴承的径向负荷,N;i—滚动体列数;z—每列中滚动体数;dδ—滚动体直径,mm;d—轴承孔径,mm;α—轴承的接触角,(° );la—滚动体有效长度,mm,la=l-2r;l—滚子长度,mm;r—滚子倒圆角半径,mm。 |
||||||
|
例 某机器的支承中装有一个双列圆柱滚子轴承3182120(d=100mm,D=150mm,b=37mm,i=2,z=30,dδ=11mm,l=11mm,r=0.8mm)。轴承的预紧量为5μm(即g=-5μm),外圆与箱体孔的配合过盈量为5μm(即Δ=5μm),F=4900N。求支承的刚度 解 (1)求间隙为零时轴承的径向弹性位移δ0 根据表2
(2)求轴承有5μm预紧量时的径向弹性位移δ1 计算相对间隙:g/δ0=-5/2.89=-1.73 从图1查得:β=0.47,于是得
(3)求轴承外圈与箱体孔的接触变形δ2 计算Δ/D:Δ/D=5/15=0.333,从图2b查得H2=0.2,于是
(4)求轴承内圈与轴颈的接触变形δ3 因内圈为锥体配合,故H2=0.05,于是
(5)求支承刚度 将δ1,δ2,δ3代入刚度公式得
|
||||||









