|
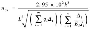
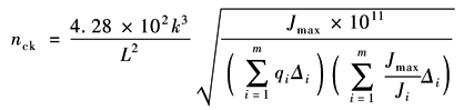
临界转速计算公式 |
|||||||||
|
对于钢轴E=2.1×1011N/m2,则
式中 k——临界转速阶次,通常只计算一、二阶临界转速,用于计算高于三阶临界转速时误差较大; L——转子两支承跨距,m; qi——第i段轴的均布载荷,qi=mig/li,N/m; Ji——第i段轴截面惯性矩,Ji=πd4i/64,m4; Jmax/Ji——最大截面惯性矩与第i段轴截面惯性矩之比; di——第i段轴的直径,m; Δi——第i段轴的位置函数, |
|||||||||
|
函数f(λ)数值表 |
|||||||||
|
λ |
f (λ) |
λ |
f (λ) |
λ |
f (λ) |
λ |
f (λ) |
λ |
f (λ) |
|
0.000 |
0 |
0.115 |
0.00975 |
0.375 |
0.2625 |
0.635 |
0.7544 |
0.895 |
0.9926 |
|
0.002 |
0.0000004 |
0.120 |
0.0111 |
0.380 |
0.2711 |
0.640 |
0.7626 |
0.900 |
0.99343 |
|
0.004 |
0.0000014 |
0.125 |
0.0125 |
0.385 |
0.2797 |
0.645 |
0.7708 |
0.902 |
0.99381 |
|
0.006 |
0.0000014 |
0.130 |
0.0140 |
0.390 |
0.2886 |
0.650 |
0.7788 |
0.904 |
0.99418 |
|
0.008 |
0.0000034 |
|
|
|
|
|
|
|
|
|
|
|
0.135 |
0.0156 |
0.395 |
0.2975 |
0.655 |
0.7866 |
0.906 |
0.99455 |
|
0.010 |
0.0000066 |
0.140 |
0.0174 |
0.400 |
0.3064 |
0.660 |
0.7944 |
0.908 |
0.99488 |
|
0.012 |
0.000011 |
0.145 |
0.0192 |
0.405 |
0.3155 |
0.665 |
0.8020 |
0.910 |
0.99521 |
|
0.014 |
0.000018 |
0.150 |
0.0212 |
0.410 |
0.3247 |
0.670 |
0.8095 |
0.912 |
0.99552 |
|
0.016 |
0.000027 |
|
|
|
|
|
|
|
|
|
|
|
0.155 |
0.0234 |
0.415 |
0.3340 |
0.675 |
0.8168 |
0.914 |
0.99582 |
|
0.018 |
0.000038 |
0.160 |
0.0256 |
0.420 |
0.3433 |
0.680 |
0.8240 |
0.916 |
0.99611 |
|
0.020 |
0.000053 |
0.165 |
0.0280 |
0.425 |
0.3527 |
0.685 |
0.8311 |
0.918 |
0.99638 |
|
0.022 |
0.00007 |
0.170 |
0.0305 |
0.430 |
0.3622 |
0.690 |
0.8380 |
0.920 |
0.99663 |
|
0.024 |
0.000091 |
|
|
|
|
|
|
|
|
|
|
|
0.175 |
0.0332 |
0.435 |
0.3718 |
0.695 |
0.8447 |
0.922 |
0.99688 |
|
0.026 |
0.000115 |
0.180 |
0.0360 |
0.440 |
0.3814 |
0.700 |
0.8514 |
0.924 |
0.99711 |
|
0.028 |
0.000144 |
0.185 |
0.0389 |
0.445 |
0.3911 |
0.705 |
0.8578 |
0.926 |
0.99734 |
|
0.030 |
0.000177 |
0.190 |
0.0420 |
0.450 |
0.4008 |
0.710 |
0.8641 |
0.928 |
0.99755 |
|
0.032 |
0.000215 |
|
|
|
|
|
|
|
|
|
|
|
0.195 |
0.0453 |
0.455 |
0.4106 |
0.715 |
0.8704 |
0.930 |
0.99774 |
|
0.034 |
0.000258 |
0.200 |
0.0486 |
0.460 |
0.4204 |
0.720 |
0.8763 |
0.932 |
0.99796 |
|
0.036 |
0.000306 |
0.205 |
0.0522 |
0.465 |
0.4302 |
0.725 |
0.8822 |
0.934 |
0.99812 |
|
0.038 |
0.00036 |
0.210 |
0.0558 |
0.470 |
0.4402 |
0.730 |
0.8879 |
0.936 |
0.99828 |
|
0.040 |
0.00042 |
|
|
|
|
|
|
|
|
|
|
|
0.215 |
0.0597 |
0.475 |
0.4501 |
0.735 |
0.8935 |
0.938 |
0.99843 |
|
0.042 |
0.000487 |
0.220 |
0.0637 |
0.480 |
0.4601 |
0.740 |
0.8988 |
0.940 |
0.99858 |
|
0.044 |
0.00056 |
0.225 |
0.0678 |
0.485 |
0.4700 |
0.745 |
0.9041 |
0.942 |
0.99872 |
|
0.046 |
0.00064 |
0.230 |
0.0721 |
0.490 |
0.4800 |
0.750 |
0.9092 |
0.944 |
0.99885 |
|
0.048 |
0.000725 |
|
|
|
|
|
|
|
|
|
|
|
0.235 |
0.0766 |
0.495 |
0.4900 |
0.755 |
0.9141 |
0.946 |
0.99897 |
|
0.050 |
0.00082 |
0.240 |
0.0812 |
0.500 |
0.5000 |
0.760 |
0.9188 |
0.948 |
0.99908 |
|
0.052 |
0.00092 |
0.245 |
0.0859 |
0.505 |
0.5100 |
0.765 |
0.9234 |
0.950 |
0.99918 |
|
0.054 |
0.00103 |
0.250 |
0.0908 |
0.510 |
0.5200 |
0.770 |
0.9279 |
0.952 |
0.999275 |
|
0.056 |
0.00115 |
|
|
|
|
|
|
|
|
|
|
|
0.255 |
0.0959 |
0.515 |
0.5300 |
0.775 |
0.9322 |
0.954 |
0.99936 |
|
0.058 |
0.00128 |
0.260 |
0.1012 |
0.520 |
0.5400 |
0.780 |
0.9363 |
0.956 |
0.99944 |
|
0.060 |
0.00142 |
0.265 |
0.1066 |
0.525 |
0.5499 |
0.785 |
0.9403 |
0.958 |
0.999513 |
|
0.062 |
0.00157 |
0.270 |
0.1121 |
0.530 |
0.5598 |
0.790 |
0.9441 |
0.960 |
0.99958 |
|
0.064 |
0.00172 |
|
|
|
|
|
|
|
|
|
|
|
0.275 |
0.1178 |
0.535 |
0.5697 |
0.795 |
0.9478 |
0.962 |
0.99964 |
|
0.066 |
0.00188 |
0.280 |
0.1237 |
0.540 |
0.5796 |
0.800 |
0.9514 |
0.964 |
0.999694 |
|
0.068 |
0.00204 |
0.285 |
0.1297 |
0.545 |
0.5894 |
0.805 |
0.9547 |
0.966 |
0.999742 |
|
0.070 |
0.00226 |
0.290 |
0.1358 |
0.550 |
0.5992 |
0.810 |
0.9580 |
0.968 |
0.999785 |
|
0.072 |
0.00245 |
|
|
|
|
|
|
|
|
|
|
|
0.295 |
0.1412 |
0.555 |
0.6089 |
0.815 |
0.9611 |
0.970 |
0.999823 |
|
0.074 |
0.00266 |
0.300 |
0.1486 |
0.560 |
0.6186 |
0.820 |
0.9640 |
0.972 |
0.999856 |
|
0.076 |
0.00289 |
0.305 |
0.1553 |
0.565 |
0.6282 |
0.825 |
0.9668 |
0.974 |
0.999885 |
|
0.078 |
0.00312 |
0.310 |
0.1620 |
0.570 |
0.6378 |
0.830 |
0.9695 |
0.976 |
0.999906 |
|
0.080 |
0.00337 |
|
|
|
|
|
|
|
|
|
|
|
0.315 |
0.1689 |
0.575 |
0.6473 |
0.835 |
0.9720 |
0.978 |
0.999993 |
|
0.082 |
0.00362 |
0.320 |
0.1760 |
0.580 |
0.6567 |
0.840 |
0.9744 |
0.980 |
0.999947 |
|
0.084 |
0.00389 |
0.325 |
0.1823 |
0.585 |
0.6660 |
0.845 |
0.9766 |
0.982 |
0.999962 |
|
0.086 |
0.00418 |
0.330 |
0.1905 |
0.590 |
0.6753 |
0.850 |
0.9788 |
0.984 |
0.999973 |
|
0.088 |
0.00448 |
|
|
|
|
|
|
|
|
|
|
|
0.335 |
0.1980 |
0.595 |
0.6845 |
0.855 |
0.9808 |
0.986 |
0.999982 |
|
0.090 |
0.00479 |
0.340 |
0.2056 |
0.600 |
0.6935 |
0.860 |
0.9826 |
0.988 |
0.999989 |
|
0.092 |
0.00512 |
0.345 |
0.2134 |
0.605 |
0.7025 |
0.865 |
0.9844 |
0.990 |
0.9999934 |
|
0.094 |
0.00545 |
0.350 |
0.2212 |
0.610 |
0.7114 |
0.870 |
0.9860 |
0.992 |
0.9999956 |
|
0.096 |
0.00581 |
|
|
|
|
|
|
|
|
|
|
|
0.355 |
0.2292 |
0.615 |
0.7203 |
0.875 |
0.9875 |
0.994 |
0.9999986 |
|
0.098 |
0.00619 |
0.360 |
0.2374 |
0.620 |
0.7289 |
0.880 |
0.9890 |
0.996 |
0.9999996 |
|
0.100 |
0.00645 |
0.365 |
0.2456 |
0.625 |
0.7375 |
0.885 |
0.9902 |
0.998 |
1 |
|
0.105 |
0.00745 |
0.370 |
0.2540 |
0.630 |
0.7460 |
0.890 |
0.9915 |
1.000 |
1 |
|
0.110 |
0.00855 |
|
|
|
|
|
|
|
|
|
注:当λ>1时,f (λ)的整数部分与λ的整数部分相等。小数部分由表中查得。 |
|||||||||


