|
力学模型 |
||
|
轴系组成 |
简化模型 |
说明 |
|
两支承轴 |
等直径均匀分布质量模型m0 |
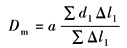
阶梯轴当量直径:
式中 d1——阶梯轴各阶直径,m; Δl1——对应d1段的轴段长度,m; a——经验修正系数 若阶梯轴最初段长超过全长50%,a=1;小于15%,此段轴可以看成以次粗段直径为直径的轴上套一轴环;a值一般可参考有准确解的轴通过试算找出,例如一般的压缩机、离心机、鼓风机转子a=1.094 |
|
两支承等直径梁刚度模型EJ |
||
|
圆盘 |
集中质量模型m1 |
适用转子转速不高,圆盘位于两支承的中点附近回转力矩影响较小的情况 |
|
支承 |
刚性支承模型。各种轴承刚性支承型式按下图选取 结构简图
|
刚性支承反力作用点: 图a为深沟球轴承;图b为角接触球轴承或圆锥滚子轴承;图c为成对安装角接触球轴承、双列角接触球轴承、调心球轴承、双列短圆柱滚子轴承、调心滚子轴承、双列圆锥滚子轴承;图d为短滑动轴承(l/d<2):当l/d≤1时,e=0.5l,当l/d>1时,e=0.5d;图e为长滑动轴承(l/d>2)和四列滚动轴承 一般小型机组转速不高,支座总刚度比转子本身刚度大得多,可按刚性支座计算临界转速 |

